【药物名称】ICI-118551
化学结构式(Chemical Structure):
参考文献No.47236
标题:Alkanolamine derivs., process for their preparation and pharmaceutical compsns. containing them
作者:Tucker, H. (AstraZeneca plc)
来源:EP 0003664
合成路线图解说明:

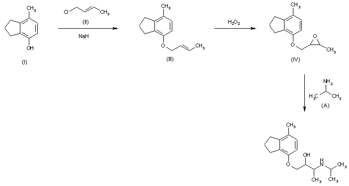
The condensation of 7-methylindan-4-ol (I) with crotyl chloride (II) by means of NaH in DMF gives 1-(7-methylindan-4-yloxy)-trans-2-butuene (III), which is epoxidized with H2O2 in MeCN-MeOH yielding 1-(7-methylindan-4-yloxy)-trans-2,3-epoxybutane (IV). Finally, this compound is treated with isopropylamine (A) in refluxing water.

参考文献No.60597
标题:ICI-118,551
作者:Casta馿r, J.; Blancafort, P.; Weetman, D.F.; Serradell, M.N.
来源:Drugs Fut 1983,8(10),853
合成路线图解说明:

The condensation of 7-methylindan-4-ol (I) with crotyl chloride (II) by means of NaH in DMF gives 1-(7-methylindan-4-yloxy)-trans-2-butuene (III), which is epoxidized with H2O2 in MeCN-MeOH yielding 1-(7-methylindan-4-yloxy)-trans-2,3-epoxybutane (IV). Finally, this compound is treated with isopropylamine (A) in refluxing water.

Drug Information Express,Drug R&D,Chemical Database,Patent Search.
Copyright © 2006-2026 Drug Future. All rights reserved.Contact Us