【药物名称】Velaresol, 12C79, BW-12C
化学结构式(Chemical Structure):
参考文献No.47469
标题:Substd. phenol ethers, their preparation, intermediates therefor, pharmaceutical compsns. containing them and the preparation thereof
作者:Kneen, G. (Glaxo Wellcome plc)
来源:EP 0022229
合成路线图解说明:

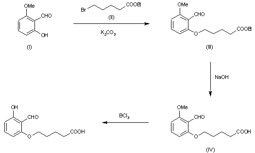
The reaction of 2-hydroxy-6-methoxybenzaldehyde (I) with ethyl 5-bromopentanoate (II) by means of K2CO3 and NaI in refluxing ethanol gives ethyl 5-(2-formyl-3-methoxyphenoxy)pentanoate (III), which is hydrolyzed with NaOH in ethanol - water yielding 5-(2-formyl-3-methoxyphenoxy)pentanoic acid (IV). Finally, this compound is demethylated by treatment with BCl3 in CH2Cl2.

合成路线图解说明:

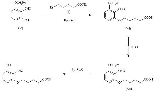
The reaction of 2-hydroxy-6-benzyloxybenzaldehyde (V) with ethyl 5-bromopentanoate (II) by means of K2CO3 and NaI in refluxing ethanol gives ethyl 5-(2-formyl-3-benzyloxyphenoxy)pentanoate (VI), which is hydrolyzed with KOH in ethanol yielding 5-(2-formyl-3-benzyloxyphenoxy)pentanoic acid (VII) Finally, this compound is debenzylated by hydrogenation with H2 over Pd/c in ethanol.

合成路线图解说明:

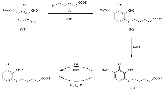
The reaction of methyl 2,4-dihydroxy-3-formylbenzoate (VIII) with ethyl 5-bromopentanoate (II) by means of NaH in DMF gives ethyl 5-(2-formyl-3-hydroxy-4-methoxycarbonylphenoxy)pentanoate (IX), which is hydrolyzed with NaOH in water yielding 5-(2-formyl-3-hydroxy-4-carboxyphenoxy)pentanoic acid (X). Finally, this compound is decarboxylated by treatment with acidic alumina in refluxing dioxane-H2O or with copper in quinoline at 210 C.

参考文献No.71693
标题:BW-12C
作者:Hillier, K.; Casta馿r, J.; Serradell, M.N.; Blancafort, P.
来源:Drugs Fut 1982,7(9),613
合成路线图解说明:

The reaction of 2-hydroxy-6-methoxybenzaldehyde (I) with ethyl 5-bromopentanoate (II) by means of K2CO3 and NaI in refluxing ethanol gives ethyl 5-(2-formyl-3-methoxyphenoxy)pentanoate (III), which is hydrolyzed with NaOH in ethanol - water yielding 5-(2-formyl-3-methoxyphenoxy)pentanoic acid (IV). Finally, this compound is demethylated by treatment with BCl3 in CH2Cl2.

合成路线图解说明:

The reaction of 2-hydroxy-6-benzyloxybenzaldehyde (V) with ethyl 5-bromopentanoate (II) by means of K2CO3 and NaI in refluxing ethanol gives ethyl 5-(2-formyl-3-benzyloxyphenoxy)pentanoate (VI), which is hydrolyzed with KOH in ethanol yielding 5-(2-formyl-3-benzyloxyphenoxy)pentanoic acid (VII) Finally, this compound is debenzylated by hydrogenation with H2 over Pd/c in ethanol.

合成路线图解说明:

The reaction of methyl 2,4-dihydroxy-3-formylbenzoate (VIII) with ethyl 5-bromopentanoate (II) by means of NaH in DMF gives ethyl 5-(2-formyl-3-hydroxy-4-methoxycarbonylphenoxy)pentanoate (IX), which is hydrolyzed with NaOH in water yielding 5-(2-formyl-3-hydroxy-4-carboxyphenoxy)pentanoic acid (X). Finally, this compound is decarboxylated by treatment with acidic alumina in refluxing dioxane-H2O or with copper in quinoline at 210 C.

Drug Information Express,Drug R&D,Chemical Database,Patent Search.
Copyright © 2006-2026 Drug Future. All rights reserved.Contact Us