【药物名称】Falintolol oxalate
化学结构式(Chemical Structure):
参考文献No.66394
标题:Falintolol oxalate
作者:Casta馿r, J.; Serradell, M.N.
来源:Drugs Fut 1984,9(7),510
合成路线图解说明:

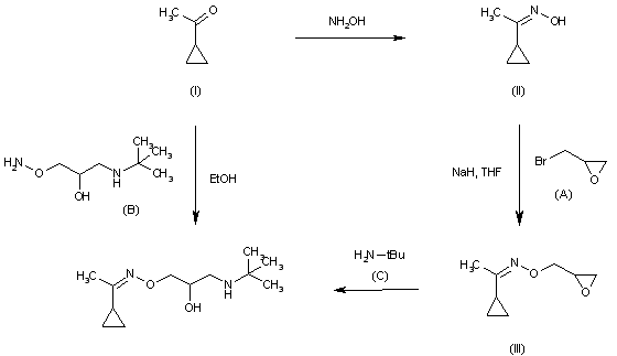
This compound can be obtained in two different ways: 1) The reaction of cyclopropylmethyl ketone oxime (II) with epibromohydrin (A) in THF containing NaH gives O-[2,3-epoxypropyl]cyclopropylmethyl ketone oxime (III), which is treated with excess tert-butylamine (C) in ethanol yielding the final compound. 2) By condensation of cyclopropylmethyl ketone (I) with 3-(aminooxy)-N-tert-butyl-2-hydroxypropanamine (B) in ethanol.

参考文献No.607199
标题:Synthesis and beta-adrenergic blocking activity of a new aliphatic oxime ethers
作者:Leclerc, G.; Bieth, N.; Schwartz, J.
来源:J Med Chem 1980,23(6),620
合成路线图解说明:

This compound can be obtained in two different ways: 1) The reaction of cyclopropylmethyl ketone oxime (II) with epibromohydrin (A) in THF containing NaH gives O-[2,3-epoxypropyl]cyclopropylmethyl ketone oxime (III), which is treated with excess tert-butylamine (C) in ethanol yielding the final compound. 2) By condensation of cyclopropylmethyl ketone (I) with 3-(aminooxy)-N-tert-butyl-2-hydroxypropanamine (B) in ethanol.

参考文献No.701184
标题:Ethers and oxime ethers of alkylamino alcohols as medicaments and novel products, and processes for their preparation
作者:Leclerc, G.; Bouzoubaa, M.; Andermann, G.
来源:AU 1167283; EP 0087378; FR 2521856; JP 58154538; US 4766151
合成路线图解说明:

This compound can be obtained in two different ways: 1) The reaction of cyclopropylmethyl ketone oxime (II) with epibromohydrin (A) in THF containing NaH gives O-[2,3-epoxypropyl]cyclopropylmethyl ketone oxime (III), which is treated with excess tert-butylamine (C) in ethanol yielding the final compound. 2) By condensation of cyclopropylmethyl ketone (I) with 3-(aminooxy)-N-tert-butyl-2-hydroxypropanamine (B) in ethanol.

Drug Information Express,Drug R&D,Chemical Database,Patent Search.
Copyright © 2006-2026 Drug Future. All rights reserved.Contact Us