【药物名称】Brivudine, Bromovinyldeoxyuridine, RP-101, A-176, BVDU, Zostex, Helpin
化学结构式(Chemical Structure):
参考文献No.68113
标题:Bromovinyldeoxyuridine
作者:De Clercq, E.
来源:Drugs Fut 1980,5(7),334
合成路线图解说明:

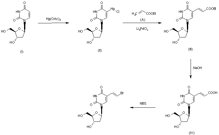
5-Chloromercuri-2'-deoxyuridine (II) is prepared from 2'-deoxyuridine (I) by reaction with mercuriacetate and natrium chloride (1). Condensation of (II) with ethylacrylate (A) and lithium palladium chloride gives (E)-5-(2-carbethoxyvinyl)-2'-deoxyuridine (III), which is readily hydrozyled to (E)-5-(2-carboxyvinyl)-2'-deoxyuridine (IV) under basic conditions (0.5M NaOH). The final step involves the reaction of (IV) with N-bromosuccinimide to produce (E)-5-(2-bromovinyl)-2'-deoxyuridine.

参考文献No.77389
标题:Novel syntheses and solution conformations of (E)-5-(2-bromovinyl)-2'-deoxyuridine
作者:Kulikowski, T.; Felczak, K.; Poznanski, J.; Remin, M.
来源:Int Symp: Basic Clin Approach Virus Chemother 1988,Poster M17
合成路线图解说明:

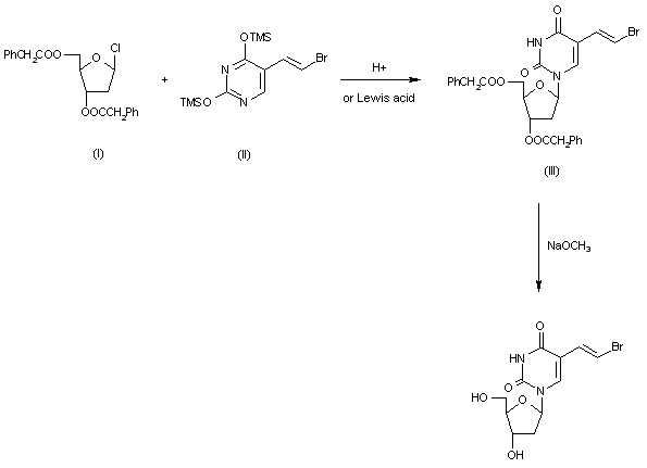
The condensation of 2-deoxy-3,5-di-O-(phenylacetyl)-beta-D-erythro-pentofuranosyl chloride (I) with 2,4-bis-O-(trimethylsilyl)-5(E)-(2-bromovinyl)uracil (II) in acetonitrile (Lewis acid catalyst), or in CHCl3-pyridine (Bronsted acid catalyst), gives 3',5'-di-O-(phenylacetyl)-5(E)-(2-bromovinyl)-2'-deoxyuridine (III) and its anomer that is eliminated by TLC (silicagel). Finally, (III) is treated with sodium methoxide in methanol.

参考文献No.127286
标题:The synthesis of the potent antiherpes virus agent, E-5(2-bromovinyl)-2'-deoxyuridine and related compounds
作者:Jones, A.S.; et al.
来源:Tetrahedron Lett 1979,454415-8
合成路线图解说明:

5-Chloromercuri-2'-deoxyuridine (II) is prepared from 2'-deoxyuridine (I) by reaction with mercuriacetate and natrium chloride (1). Condensation of (II) with ethylacrylate (A) and lithium palladium chloride gives (E)-5-(2-carbethoxyvinyl)-2'-deoxyuridine (III), which is readily hydrozyled to (E)-5-(2-carboxyvinyl)-2'-deoxyuridine (IV) under basic conditions (0.5M NaOH). The final step involves the reaction of (IV) with N-bromosuccinimide to produce (E)-5-(2-bromovinyl)-2'-deoxyuridine.

参考文献No.800492
标题:Preparation of C-5 mercurated pyrimidine nucleosides
作者:Bergstrom, D.E.; Ruth, J.L.
来源:J Carbohydates Nucleosides Nucleotides 1977,4(5),4415
合成路线图解说明:

5-Chloromercuri-2'-deoxyuridine (II) is prepared from 2'-deoxyuridine (I) by reaction with mercuriacetate and natrium chloride (1). Condensation of (II) with ethylacrylate (A) and lithium palladium chloride gives (E)-5-(2-carbethoxyvinyl)-2'-deoxyuridine (III), which is readily hydrozyled to (E)-5-(2-carboxyvinyl)-2'-deoxyuridine (IV) under basic conditions (0.5M NaOH). The final step involves the reaction of (IV) with N-bromosuccinimide to produce (E)-5-(2-bromovinyl)-2'-deoxyuridine.

Drug Information Express,Drug R&D,Chemical Database,Patent Search.
Copyright © 2006-2026 Drug Future. All rights reserved.Contact Us