【药物名称】Trioxifene mesylate(Rec INNM, USAN), Cpd-133314, Lilly-88571(free base), LY-133314
化学结构式(Chemical Structure):
参考文献No.65687
标题:Trioxifene mesylate
作者:Casta馿r, J.; Hillier, K.
来源:Drugs Fut 1980,5(5),259
合成路线图解说明:

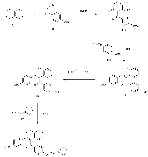
The condensation beta-tetralone (I) with phenyl 4-methoxybenzoate (II) by means of NaNH2 in THF gives 3,4-dihydro-1-(4-methoxybenzoyl)-2(1H)-naphthalenone (III), which is then submitted to a Grignard reaction with 4-methoxyphenylmagnesium bromide (IV) in hot THF yielding 3,4-dihydro-2-(4-methoxyphenyl)-1-naphthyl-4-methoxyphenyl ketone (V). The cleavage of one methoxy group of (V) with sodium ethylmercaptide (A) in dry DMF affords 3,4-dihydro-2-(4-methoxyphenyl)-1-naphthyl-4-hydroxyphenyl ketone (VI), which is finally condensed with N-(2-chloroethyl)pyrrolidine (VII) by means of K2CO3 in refluxing 2-butanone.

参考文献No.607189
标题:Synthesis and antiestrogenic activity of [3,4-dihydro-2-(4-methoxyphenyl)-1-naphthalenyl][4-[2-(1-pyrrolidinyl)ethoxyphenyl]methanone]methane sulfonic acid salt
作者:Jones, C.D.; Suarez, T.; Massey, E.H.; Black, L.J.; Tinsley, F.C.
来源:J Med Chem 1979,22(8),962-966
合成路线图解说明:

The condensation beta-tetralone (I) with phenyl 4-methoxybenzoate (II) by means of NaNH2 in THF gives 3,4-dihydro-1-(4-methoxybenzoyl)-2(1H)-naphthalenone (III), which is then submitted to a Grignard reaction with 4-methoxyphenylmagnesium bromide (IV) in hot THF yielding 3,4-dihydro-2-(4-methoxyphenyl)-1-naphthyl-4-methoxyphenyl ketone (V). The cleavage of one methoxy group of (V) with sodium ethylmercaptide (A) in dry DMF affords 3,4-dihydro-2-(4-methoxyphenyl)-1-naphthyl-4-hydroxyphenyl ketone (VI), which is finally condensed with N-(2-chloroethyl)pyrrolidine (VII) by means of K2CO3 in refluxing 2-butanone.

Drug Information Express,Drug R&D,Chemical Database,Patent Search.
Copyright © 2006-2026 Drug Future. All rights reserved.Contact Us