【药物名称】Fosmidomycin, FR-31564
化学结构式(Chemical Structure):
参考文献No.65741
标题:FR-31564
作者:Prous, J.R.; Casta馿r, J.
来源:Drugs Fut 1980,5(5),239
合成路线图解说明:

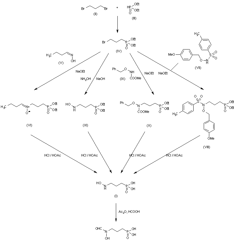
1) The condensation of 1,3-dibromopropane (II) with diethyl phosphonate (III) gives diethyl 3-bromopropylphosphonate (IV), which by reaction with butyraldehyde oxime (V) by means of sodium ethoxide in ethanol is converted to diethyl 3-(butylideneamino)propylphosphonate-N-oxide (VI). Finally, this compound is hydrolyzed with HCl in refluxing acetic acid to obtain compound (I). 2) The condensation of (IV) with N-(p-methoxybenzyloxy)-p-toluenesulfonamide (VII) by means of sodium ethoxide in ethanol gives diethyl 3-[N-methoxybenzyloxy)-N-tosylamino]propyl phosphonate (VIII), which is hydrolyzed with HCl in acetic acid to obtain compound (I). 3) The condensation of (IV) with methyl N-(benzyloxy)carbamate (IX) by means of sodium ethoxide in ethanol yields diethyl 3-(N-benzyloxy-N-methoxycarbonylamino)propylphosphonate (X), which is hydrolyzed with HCl in acetic acid to obtain compound (I). 4) The condensation of (IV) with hydroxylamine by means of NaOH in MeOH-H2O gives diethyl 3-(N-hydroxylamino)propylphosphonate (XI), which is hydrolyzed with HCl in acetic acid to obtain compound (I).

合成路线图解说明:

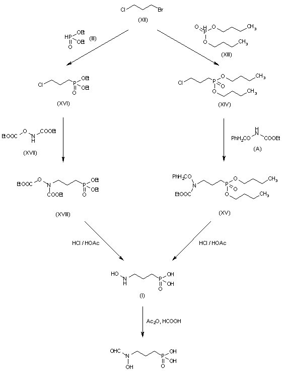
5) The condensation of 1-chloro-3-bromopropane (XII) with dibutyl phosphonate (XIII) affords dibutyl 3-chloropropylphosphonate (XIV), which by reaction with ethyl N-benzyloxycarbamate (A) is converted into dibutyl 3-(N-benzyloxy-N-ethoxycarbonylamino)propylphosphonate (XV). Finally, this compound is hydrolyzed with HCl in acetic acid to obtain compound (I). 6) The reaction of (XII) with diethyl phosphonate (III) yields diethyl 3-chloropropylphosphonate (XVI), which by condensation with ethyl N-ethoxycarbonyl-oxycarbamate (XVII) is converted into diethyl 3-(N-ethoxycarbonyloxy-N-ethoxycarbonylamino)propylphosphonate (XVIII). Finally, this compound is hydrolyzed with HCl in acetic acid to obtain compound (I).

合成路线图解说明:

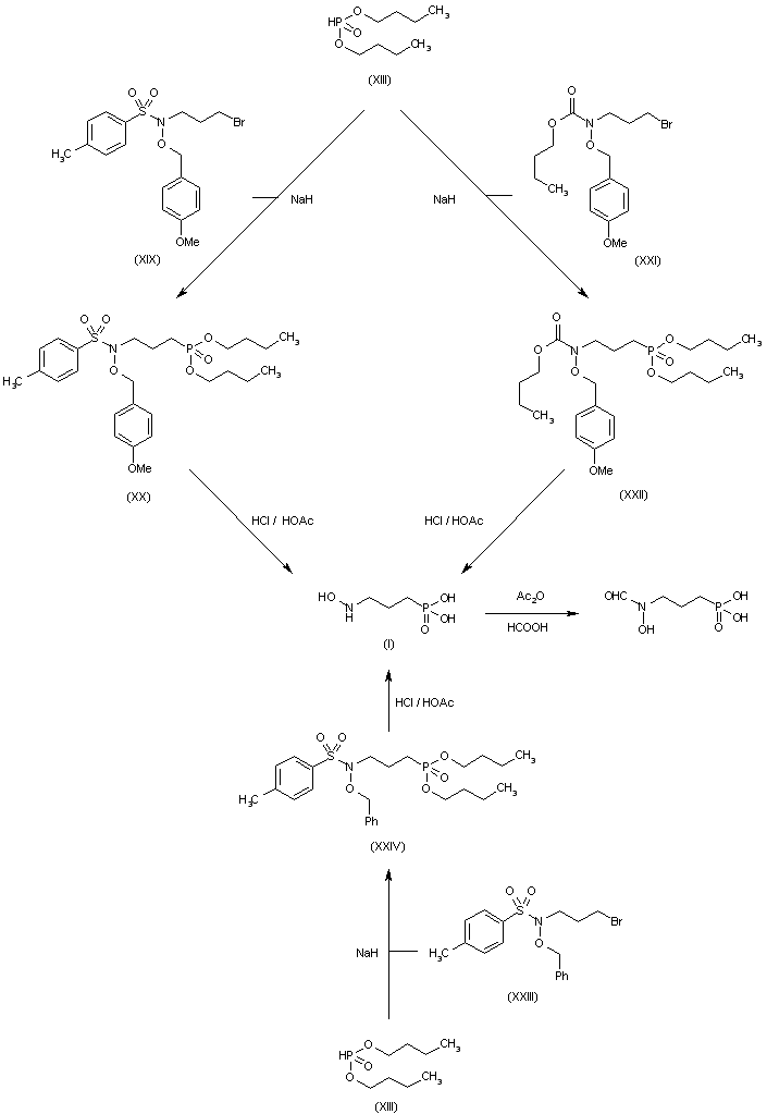
7) The condensation of dibutyl phosphonate (XIII) with N-(3-bromopropyl)-N-(p-methoxybenzyloxy)-p-toluenesulfonamide (XIX) by means of NaH in refluxing benzene gives dibutyl 3-[N-(p-methoxybenzyloxy)-N-tosylamino]propylphosphonate (XX), which is hydrolyzed with HCl in acetic acid to obtain compound (I). 8) The condensation of (XIII) with isobutyl N-(p-methoxybenzyloxy)-N-(3-bromopropyl)carbamate (XXI) with NaH in refluxing benzene affords dibutyl 3-[N-(p-methoxybenzyloxy)-N-isobutoxycarbonylamino]propylphosphonate (XXII), which is hydrolyzed with HCl in acetic acid to obtain compound (I). 9) The condensation of (XIII) with N-(3-bromopropyl)-N-benzyloxy-p-toluenesulfonamide (XXIII) with NaH in refluxing benzene gives dibutyl 3-(N-benzyloxy-N-tosylamino)propylphosphonate (XXIV), which is hydrolyzed with HCl in acetic acid to obtain compound (I).

合成路线图解说明:

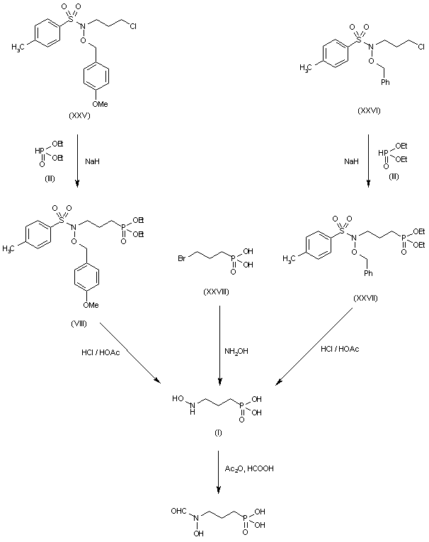
10) The condensation of diethyl phosphonate (III) with N-(p-methoxybenzyloxy)-N-(3-chloropropyl)-p-toluenesulfonamide (XXV) by means of NaH in refluxing benzene gives (VIII), which is hydrolyzed with HCl in acetic acid to obtain compound (I). 11) The condensation of (III) with N-(3-chloropropyl)-N-(benzyloxy)-p-toluenesulfonamide (XXVI) by means of NaH in refluxing benzene gives diethyl 3-(N-benzyloxy-N-tosylamino)propylphosphonate (XXVII), which is hydrolyzed with HCl in acetic acid to obtain compound (I). 12) By reaction of 3-bromopropylphosphonic acid (XXVIII) with hydroxylamine by means of sodium methoxide in MeOH to obtain compound (I).

参考文献No.701403
标题:
作者:Kuroda, Y.; et al.
来源:US 4143135
合成路线图解说明:

1) The condensation of 1,3-dibromopropane (II) with diethyl phosphonate (III) gives diethyl 3-bromopropylphosphonate (IV), which by reaction with butyraldehyde oxime (V) by means of sodium ethoxide in ethanol is converted to diethyl 3-(butylideneamino)propylphosphonate-N-oxide (VI). Finally, this compound is hydrolyzed with HCl in refluxing acetic acid to obtain compound (I). 2) The condensation of (IV) with N-(p-methoxybenzyloxy)-p-toluenesulfonamide (VII) by means of sodium ethoxide in ethanol gives diethyl 3-[N-methoxybenzyloxy)-N-tosylamino]propyl phosphonate (VIII), which is hydrolyzed with HCl in acetic acid to obtain compound (I). 3) The condensation of (IV) with methyl N-(benzyloxy)carbamate (IX) by means of sodium ethoxide in ethanol yields diethyl 3-(N-benzyloxy-N-methoxycarbonylamino)propylphosphonate (X), which is hydrolyzed with HCl in acetic acid to obtain compound (I). 4) The condensation of (IV) with hydroxylamine by means of NaOH in MeOH-H2O gives diethyl 3-(N-hydroxylamino)propylphosphonate (XI), which is hydrolyzed with HCl in acetic acid to obtain compound (I).

合成路线图解说明:

5) The condensation of 1-chloro-3-bromopropane (XII) with dibutyl phosphonate (XIII) affords dibutyl 3-chloropropylphosphonate (XIV), which by reaction with ethyl N-benzyloxycarbamate (A) is converted into dibutyl 3-(N-benzyloxy-N-ethoxycarbonylamino)propylphosphonate (XV). Finally, this compound is hydrolyzed with HCl in acetic acid to obtain compound (I). 6) The reaction of (XII) with diethyl phosphonate (III) yields diethyl 3-chloropropylphosphonate (XVI), which by condensation with ethyl N-ethoxycarbonyl-oxycarbamate (XVII) is converted into diethyl 3-(N-ethoxycarbonyloxy-N-ethoxycarbonylamino)propylphosphonate (XVIII). Finally, this compound is hydrolyzed with HCl in acetic acid to obtain compound (I).

合成路线图解说明:

7) The condensation of dibutyl phosphonate (XIII) with N-(3-bromopropyl)-N-(p-methoxybenzyloxy)-p-toluenesulfonamide (XIX) by means of NaH in refluxing benzene gives dibutyl 3-[N-(p-methoxybenzyloxy)-N-tosylamino]propylphosphonate (XX), which is hydrolyzed with HCl in acetic acid to obtain compound (I). 8) The condensation of (XIII) with isobutyl N-(p-methoxybenzyloxy)-N-(3-bromopropyl)carbamate (XXI) with NaH in refluxing benzene affords dibutyl 3-[N-(p-methoxybenzyloxy)-N-isobutoxycarbonylamino]propylphosphonate (XXII), which is hydrolyzed with HCl in acetic acid to obtain compound (I). 9) The condensation of (XIII) with N-(3-bromopropyl)-N-benzyloxy-p-toluenesulfonamide (XXIII) with NaH in refluxing benzene gives dibutyl 3-(N-benzyloxy-N-tosylamino)propylphosphonate (XXIV), which is hydrolyzed with HCl in acetic acid to obtain compound (I).

合成路线图解说明:

10) The condensation of diethyl phosphonate (III) with N-(p-methoxybenzyloxy)-N-(3-chloropropyl)-p-toluenesulfonamide (XXV) by means of NaH in refluxing benzene gives (VIII), which is hydrolyzed with HCl in acetic acid to obtain compound (I). 11) The condensation of (III) with N-(3-chloropropyl)-N-(benzyloxy)-p-toluenesulfonamide (XXVI) by means of NaH in refluxing benzene gives diethyl 3-(N-benzyloxy-N-tosylamino)propylphosphonate (XXVII), which is hydrolyzed with HCl in acetic acid to obtain compound (I). 12) By reaction of 3-bromopropylphosphonic acid (XXVIII) with hydroxylamine by means of sodium methoxide in MeOH to obtain compound (I).

Drug Information Express,Drug R&D,Chemical Database,Patent Search.
Copyright © 2006-2026 Drug Future. All rights reserved.Contact Us