【药物名称】Fluperlapine, NB-106689
化学结构式(Chemical Structure):
参考文献No.65739
标题:Fluperlapine
作者:Serradell, M.N.; Casta馿r, J.
来源:Drugs Fut 1984,9(5),326
合成路线图解说明:

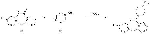
By condensation of 3-fluoro-5,6-dihydromorphanthridin-6-one (I) with N-methylpiperazine (II) by means of POCl3 and N,N-dimethylaniline.

参考文献No.701166
标题:3-Fluor-morphanthridine, ihre Herstellung und Verwengung
作者:Hunziker, F.; Fischer, R.
来源:DE 2803542
合成路线图解说明:

By condensation of 3-fluoro-5,6-dihydromorphanthridin-6-one (I) with N-methylpiperazine (II) by means of POCl3 and N,N-dimethylaniline.

参考文献No.701167
标题:Morphanthridine derivatives
作者:Hunziker, F.; Fischer, R.
来源:DE 2748920; FR 2370745; GB 1592329; GB 1592330; JP 53059686; US 4308207
合成路线图解说明:

By condensation of 3-fluoro-5,6-dihydromorphanthridin-6-one (I) with N-methylpiperazine (II) by means of POCl3 and N,N-dimethylaniline.

Drug Information Express,Drug R&D,Chemical Database,Patent Search.
Copyright © 2006-2026 Drug Future. All rights reserved.Contact Us