【药物名称】EMD-23448
化学结构式(Chemical Structure):
参考文献No.65745
标题:EMD-23,448
作者:Blancafort, P.; Hillier, K.; Serradell, M.N.; Casta馿r, J.
来源:Drugs Fut 1983,8(5),400
合成路线图解说明:

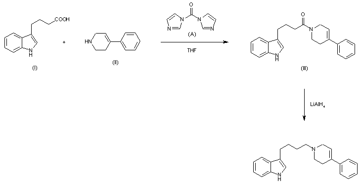
The reaction of 4-(3-indolyl)butyric acid (I) with 4-phenyl-3,4-dehydropiperidine (II) by means of carbonyldiimidazole (A) in THF gives 3-[4-oxo-4-(4-phenyl-3,4-dehydro-1-piperidyl)butyl]indole (III), which is reduced with LiAlH4 in THF.

合成路线图解说明:

By condensation of (II) with 3-(4chlorobutyl)indole (IV) in acetonitrile. Other compounds with Br, I or tosyloxy substituents instead of Cl can also be used in the above mentioned synthesis.

参考文献No.701234
标题:
作者:Hausberg, H.H.; Koppe, V.; Poetsch, E.; Saiko, O.; Seyfried, C.
来源:US 4251538
合成路线图解说明:

The reaction of 4-(3-indolyl)butyric acid (I) with 4-phenyl-3,4-dehydropiperidine (II) by means of carbonyldiimidazole (A) in THF gives 3-[4-oxo-4-(4-phenyl-3,4-dehydro-1-piperidyl)butyl]indole (III), which is reduced with LiAlH4 in THF.

合成路线图解说明:

By condensation of (II) with 3-(4chlorobutyl)indole (IV) in acetonitrile. Other compounds with Br, I or tosyloxy substituents instead of Cl can also be used in the above mentioned synthesis.

Drug Information Express,Drug R&D,Chemical Database,Patent Search.
Copyright © 2006-2026 Drug Future. All rights reserved.Contact Us