【药物名称】Cefodizime, THR-221, HR-221, Timecef, Modivid, Diezime
化学结构式(Chemical Structure):
参考文献No.35119
标题:Cephem derivative
作者:Duerckeimer, W.; et al. (Aventis Pharma AG)
来源:BE 0865632; FR 2385722; GB 1604971; JP 5706887; US 4278793
合成路线图解说明:

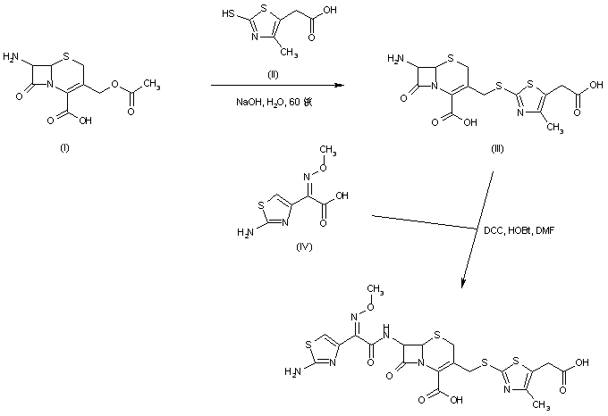
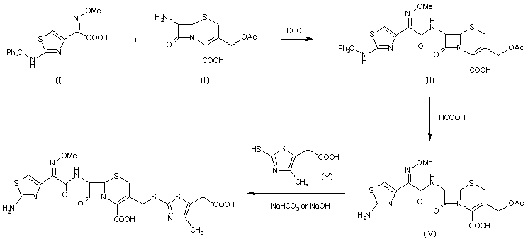
The condensation of 2-(methoxyimino)-2-(2-tritylaminothiazol-4-yl)acetic acid (I) with 7-aminocephalosporanic acid (II) by means of dicyclohexylcarbodiimide in CH2Cl2 gives 7-[2-(methoxyimino)-2-(2-tritylaminothiazol-4-yl)acetamido]cephalosporanic acid (III), which is deprotected by means of formic acid in water yielding 7-[2-(methoxyimino)-2-(2-aminothiazol-4-yl)acetamido]cephalosporanic acid (IV). Finally, this compound is condensed with 5-(carboxymethyl)-2-mercapto-4-methyl-1,3-thiazole (V) by means of NaHCO3 or NaOH in hot water.

参考文献No.58264
标题:A method for the acylation of the 7-amino group of the cephalosporanic ring
作者:Zenoni, M.; Fuganti, C.
来源:EP 0582102
合成路线图解说明:

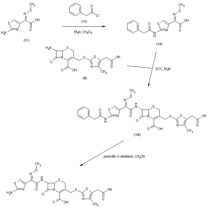
Using a different protection strategy, aminoacid (IV) was protected as the N-phenylacetyl derivative (VII) by treatment with acid chloride (VI). Subsequent DCC-mediated coupling with the cephem derivative (III) furnished (VIII). The N-phenylacetyl group was then selectively removed by enzymatic hydrolysis with penicillin G amidase.

参考文献No.58265
标题:Process for the preparation of cefodizime
作者:Wagner, H.; Jaenicke, O.; Worm, M. (Aventis Pharma AG)
来源:EP 0226093
合成路线图解说明:

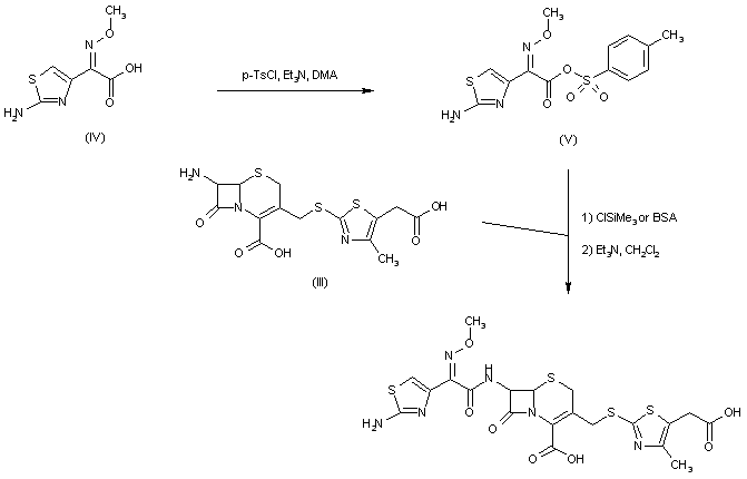
In a further procedure, 2-(2-aminothiazol-4-yl)-2-(methoxyimino)acetic acid (IV) was activated as the mixed anhydride (V) by treatment with tosyl chloride and triethylamine. After protection of the cephem thioether (III) by silylation with either chlorotrimethylsilane or with bis(trimethylsilyl)acetamide, coupling with the mixed anhydride (V) gave rise to the title compound.

参考文献No.63594
标题:Cefodizime
作者:Serradell, M.N.; Casta馿r, J.
来源:Drugs Fut 1984,9(3),177
合成路线图解说明:

The condensation of 2-(methoxyimino)-2-(2-tritylaminothiazol-4-yl)acetic acid (I) with 7-aminocephalosporanic acid (II) by means of dicyclohexylcarbodiimide in CH2Cl2 gives 7-[2-(methoxyimino)-2-(2-tritylaminothiazol-4-yl)acetamido]cephalosporanic acid (III), which is deprotected by means of formic acid in water yielding 7-[2-(methoxyimino)-2-(2-aminothiazol-4-yl)acetamido]cephalosporanic acid (IV). Finally, this compound is condensed with 5-(carboxymethyl)-2-mercapto-4-methyl-1,3-thiazole (V) by means of NaHCO3 or NaOH in hot water.

参考文献No.702437
标题:Results of a multicenter phase III trial of magnetic resonance angiography (MRA) with MS-325 for the detection of peripheral vascular disease in the aortolliac region
作者:Wolff, S.; et al.
来源:Circulation 2002,106(19, Suppl. 2),Abst 3408
合成路线图解说明:

The condensation of 2-(methoxyimino)-2-(2-tritylaminothiazol-4-yl)acetic acid (I) with 7-aminocephalosporanic acid (II) by means of dicyclohexylcarbodiimide in CH2Cl2 gives 7-[2-(methoxyimino)-2-(2-tritylaminothiazol-4-yl)acetamido]cephalosporanic acid (III), which is deprotected by means of formic acid in water yielding 7-[2-(methoxyimino)-2-(2-aminothiazol-4-yl)acetamido]cephalosporanic acid (IV). Finally, this compound is condensed with 5-(carboxymethyl)-2-mercapto-4-methyl-1,3-thiazole (V) by means of NaHCO3 or NaOH in hot water.

合成路线图解说明:

Displacement of the acetate group of 7-aminocephalosporanic acid (I) with the mercapto thiazole (II) yielded thioether (III). This was then acylated with 2-(2-aminothiazol-4-yl)-2-(methoxyimino)acetic acid (IV) in the presence of DCC and HOBt to furnish the corresponding amide.

Drug Information Express,Drug R&D,Chemical Database,Patent Search.
Copyright © 2006-2026 Drug Future. All rights reserved.Contact Us