【药物名称】Fenretinide, NSC-374551, McN-R-1967, HPR, 4-HPR
化学结构式(Chemical Structure):
参考文献No.49519
标题:4-Hydroxyphenylretinamide
作者:Hillier, K.; Blancafort, P.; Serradell, M.N.; Casta馿r, J.
来源:Drugs Fut 1980,5(3),132
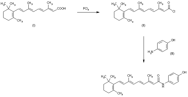
合成路线图解说明:

The reaction of retinoic acid (I) with PCl3 in dry benzene gives the corresponding retinoyl chloride (II), which is then condensed with 4-aminophenol (III) in DMF - ether.

参考文献No.700890
标题:Esters of retinoic acid
作者:Gander, R.J.; Gurney, J.A.
来源:BE 0847942; CA 1062700; GB 1543824; NL 7612201; US 4108880
合成路线图解说明:

The reaction of retinoic acid (I) with PCl3 in dry benzene gives the corresponding retinoyl chloride (II), which is then condensed with 4-aminophenol (III) in DMF - ether.

Drug Information Express,Drug R&D,Chemical Database,Patent Search.
Copyright © 2006-2026 Drug Future. All rights reserved.Contact Us