【药物名称】Xibenolol hydrochloride((+)-enantiomer), D-32
化学结构式(Chemical Structure):
参考文献No.62741
标题:D-32
作者:Casta馿r, J.; Weetman, D.F.
来源:Drugs Fut 1977,2(2),91
合成路线图解说明:

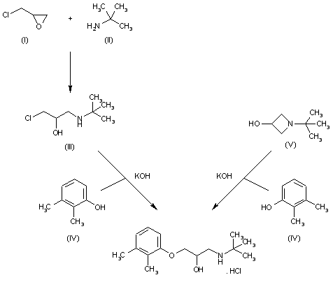
It can be prepared in two different ways: 1) The reaction of 1-chloro-2,3-propylene oxide (I) with tert-butylamine (II) in ether yields 1-chloro-3-tert-butylamino-2-propanol (III), which is condensed with 2,3-xylenol (IV) by means of KOH in ether-water. 2) By heating a mixture of 1-tert-butyl-3-azetidinol (V) and 2,3-xylenol (IV) at 155 C with KOH.

参考文献No.701508
标题:
作者:Suzuki, Y.; et al.
来源:JP 45029294
合成路线图解说明:

It can be prepared in two different ways: 1) The reaction of 1-chloro-2,3-propylene oxide (I) with tert-butylamine (II) in ether yields 1-chloro-3-tert-butylamino-2-propanol (III), which is condensed with 2,3-xylenol (IV) by means of KOH in ether-water. 2) By heating a mixture of 1-tert-butyl-3-azetidinol (V) and 2,3-xylenol (IV) at 155 C with KOH.

参考文献No.701509
标题:
作者:Tsukamoto, K.; et al.
来源:JP 46028534
合成路线图解说明:

It can be prepared in two different ways: 1) The reaction of 1-chloro-2,3-propylene oxide (I) with tert-butylamine (II) in ether yields 1-chloro-3-tert-butylamino-2-propanol (III), which is condensed with 2,3-xylenol (IV) by means of KOH in ether-water. 2) By heating a mixture of 1-tert-butyl-3-azetidinol (V) and 2,3-xylenol (IV) at 155 C with KOH.

Drug Information Express,Drug R&D,Chemical Database,Patent Search.
Copyright © 2006-2026 Drug Future. All rights reserved.Contact Us