【药物名称】Verocainine, Tiapamil hydrochloride, Ro-11-1781/023, Ro-11-1781
化学结构式(Chemical Structure):
参考文献No.62700
标题:Ro-11,1781
作者:Koch, H.
来源:Drugs Fut 1979,4(2),122
合成路线图解说明:

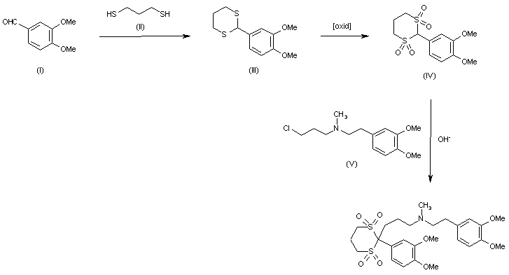
3,4-Dimethoxybenzaldehyde (I) is treated with 1,3-propanedithiol (II) to give 2-(3,4-dimethoxyphenyl)-m-dithiane (III), the oxidation product of which (IV) is reacted with N-[2-(3,4-dimethoxyphenyl)ethyl]-N-methylpropanamine chloride (V) in the presence of a base.

参考文献No.604472
标题:A new Ca2+ antagonist, Ro-111781 and its metabolites. Synthesis and physicochemical properties
作者:Ramuz, H.
来源:Arzneim-Forsch Drug Res 1978,28(11),2048
合成路线图解说明:

3,4-Dimethoxybenzaldehyde (I) is treated with 1,3-propanedithiol (II) to give 2-(3,4-dimethoxyphenyl)-m-dithiane (III), the oxidation product of which (IV) is reacted with N-[2-(3,4-dimethoxyphenyl)ethyl]-N-methylpropanamine chloride (V) in the presence of a base.

参考文献No.701470
标题:
作者:Ramuz, H.
来源:DE 2460593
合成路线图解说明:

3,4-Dimethoxybenzaldehyde (I) is treated with 1,3-propanedithiol (II) to give 2-(3,4-dimethoxyphenyl)-m-dithiane (III), the oxidation product of which (IV) is reacted with N-[2-(3,4-dimethoxyphenyl)ethyl]-N-methylpropanamine chloride (V) in the presence of a base.

Drug Information Express,Drug R&D,Chemical Database,Patent Search.
Copyright © 2006-2026 Drug Future. All rights reserved.Contact Us