【药物名称】TA-077
化学结构式(Chemical Structure):
参考文献No.62650
标题:TA-077
作者:Fujimoto, S.; Ogawa, M.
来源:Drugs Fut 1984,9(2),126
合成路线图解说明:

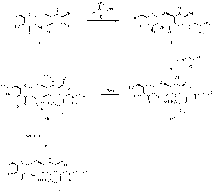
The reaction of maltose (I) with isobutylamine (II) in methanol at 65 C gives isobutylmaltosylamine (III), which is condensed with 2-chloroethyl isocyanate (IV) yielding 1-(2-chloroethyl)-3-isobutyl-3-D-maltosylurea (V). The nitrosation of (V) with dinitrogen tetroxide in THF in the presence of sodium acetate gives 1-(2-chloroethyl)-3-isobutyl-3-(beta-D-heptanitrosomaltosyl)-1-nitrosourea (VI). The nitrous esters of (VI) can be decomposed without affecting the N-nitroso group by addition of methanol under acidic conditions to give TA-077 in good yield.

参考文献No.607572
标题:A new class of nitrosoureas. 4. Synthesis and antitumor activity of disaccharide derivatives of 3,3-disubstituted 1-(2-chloroethyl)-1-nitrosoureas
作者:Tsujihara, K.; Ozeki, M.; Morikawa, T.; Kawamori, M.; Akaike, Y.; Arai, Y.
来源:J Med Chem 1982,25(4),441-446
合成路线图解说明:

The reaction of maltose (I) with isobutylamine (II) in methanol at 65 C gives isobutylmaltosylamine (III), which is condensed with 2-chloroethyl isocyanate (IV) yielding 1-(2-chloroethyl)-3-isobutyl-3-D-maltosylurea (V). The nitrosation of (V) with dinitrogen tetroxide in THF in the presence of sodium acetate gives 1-(2-chloroethyl)-3-isobutyl-3-(beta-D-heptanitrosomaltosyl)-1-nitrosourea (VI). The nitrous esters of (VI) can be decomposed without affecting the N-nitroso group by addition of methanol under acidic conditions to give TA-077 in good yield.

参考文献No.800070
标题:A new class of nitrosoureas. II. Synthesis and antitumor activity of 1-(2-chloroehtyl)-3,3-disubstituted-1-nitrosoureas having a glucopyranosyl, mannopyranosyl or galactopyranosyl moiety
作者:Taga, M.; Morikawa, T.; Kawamori, M.; Ozeki, M.; Arai, Y.; Tsujihara, K.; Miyazaki, M.
来源:Chem Pharm Bull 1981,293262
合成路线图解说明:

The reaction of maltose (I) with isobutylamine (II) in methanol at 65 C gives isobutylmaltosylamine (III), which is condensed with 2-chloroethyl isocyanate (IV) yielding 1-(2-chloroethyl)-3-isobutyl-3-D-maltosylurea (V). The nitrosation of (V) with dinitrogen tetroxide in THF in the presence of sodium acetate gives 1-(2-chloroethyl)-3-isobutyl-3-(beta-D-heptanitrosomaltosyl)-1-nitrosourea (VI). The nitrous esters of (VI) can be decomposed without affecting the N-nitroso group by addition of methanol under acidic conditions to give TA-077 in good yield.

参考文献No.800071
标题:A new class of nitrosoureas. III. Synthesis and antitumor activity of 3,3-disubstituted-1(2-chloroethyl)-1-nitrosoureas having a arabinopyranosyl, xylopyranosyl or ribopyranosyl moiety
作者:Arai, Y.; Ozeki, M.; Morikawa, T.; Umino, N.; Kawamori, M.; Tsujihara, K.
来源:Chem Pharm Bull 1982,30534-543
合成路线图解说明:

The reaction of maltose (I) with isobutylamine (II) in methanol at 65 C gives isobutylmaltosylamine (III), which is condensed with 2-chloroethyl isocyanate (IV) yielding 1-(2-chloroethyl)-3-isobutyl-3-D-maltosylurea (V). The nitrosation of (V) with dinitrogen tetroxide in THF in the presence of sodium acetate gives 1-(2-chloroethyl)-3-isobutyl-3-(beta-D-heptanitrosomaltosyl)-1-nitrosourea (VI). The nitrous esters of (VI) can be decomposed without affecting the N-nitroso group by addition of methanol under acidic conditions to give TA-077 in good yield.

Drug Information Express,Drug R&D,Chemical Database,Patent Search.
Copyright © 2006-2026 Drug Future. All rights reserved.Contact Us