【药物名称】Spizofurone, AG-629, Maon
化学结构式(Chemical Structure):
参考文献No.46253
标题:Spirobenzofuranone compounds, processes for their preparation and their use as medicines
作者:Hirosada, S.; Watanabe, M.; Mitsuru, K.; Isuke, I. (Takeda Chemical Industries, Ltd.)
来源:CA 1113467; DE 2861651; EP 0003084; ES 476330; ES 8102114; JP 54098752; ZA 7807296
合成路线图解说明:

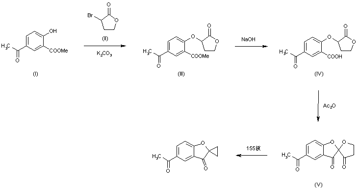
The reaction of methyl-5-acetylsalicylate (I) with alpha-bromo-gamma-butyrolactone (II) by means of K2CO3 in refluxing acetone gives alpha-[(2-methoxycarbonyl-4-acetylphenyl)oxy]-gamma-butyrolactone (III), which is hydrolyzed with NaOH in methanol yielding alpha-[(2-carboxy-4-acetylphenyl)oxy]-gamma-butyrolactone (IV). The cyclization of (IV) with refluxing acetic anhydride affords 5-acetyl-4',5'-dihydrospiro[benzofuran-2(3H),3'(2'H)-furan]-2',3-dione (V), which is finally treated at 155 C in dimethylsulfoxide containing NaCl.

参考文献No.49514
标题:AG-629
作者:Blancafort, P.; Casta馿r, J.; Serradell, M.N.
来源:Drugs Fut 1983,8(2),92
合成路线图解说明:

The reaction of methyl-5-acetylsalicylate (I) with alpha-bromo-gamma-butyrolactone (II) by means of K2CO3 in refluxing acetone gives alpha-[(2-methoxycarbonyl-4-acetylphenyl)oxy]-gamma-butyrolactone (III), which is hydrolyzed with NaOH in methanol yielding alpha-[(2-carboxy-4-acetylphenyl)oxy]-gamma-butyrolactone (IV). The cyclization of (IV) with refluxing acetic anhydride affords 5-acetyl-4',5'-dihydrospiro[benzofuran-2(3H),3'(2'H)-furan]-2',3-dione (V), which is finally treated at 155 C in dimethylsulfoxide containing NaCl.

Drug Information Express,Drug R&D,Chemical Database,Patent Search.
Copyright © 2006-2026 Drug Future. All rights reserved.Contact Us