【药物名称】Nizofenone fumarate, Y-9179, Ekonal
化学结构式(Chemical Structure):
参考文献No.47016
标题:1-[2-(2-Chlorobenzoyl)-4-nitrophenyl]-2-(diethylaminomethyl)imidazole
作者:Nakanishi, M.; et al. (Welfide Corporation)
来源:US 3915981
合成路线图解说明:

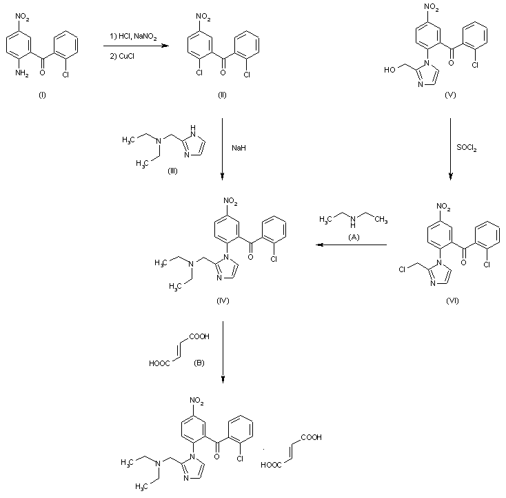
Compound can be prepared in two different ways: 1) The Sandmeyer reaction of 2-amino-5-nitro-2'-chlorobenzophenone (I) with HCl, NaNO2 and CuCl gives 2,2'-dichloro-5-nitrobenzophenone (II), which is condensed with 2-diethylaminomethylimidazole (III) by means of NaH in DMF to afford the free base of Y-9179 (IV). Finally, this compound is treated with fumaric acid (B). 2) The treatment of 1-[2-(2-chlorobenzoyl)-4-nitrophenyl]-2-hydroxymethyl-imidazole (V) with SOCl2 gives the corresponding 2-chloromethyl derivative (VI), which is then treated with diethylamine (A) and Na2CO3 in benzene-DMF at 60 C.

参考文献No.62737
标题:Y-9179
作者:Roberts, P.J.; Casta馿r, J.
来源:Drugs Fut 1979,4(2),148
合成路线图解说明:

Compound can be prepared in two different ways: 1) The Sandmeyer reaction of 2-amino-5-nitro-2'-chlorobenzophenone (I) with HCl, NaNO2 and CuCl gives 2,2'-dichloro-5-nitrobenzophenone (II), which is condensed with 2-diethylaminomethylimidazole (III) by means of NaH in DMF to afford the free base of Y-9179 (IV). Finally, this compound is treated with fumaric acid (B). 2) The treatment of 1-[2-(2-chlorobenzoyl)-4-nitrophenyl]-2-hydroxymethyl-imidazole (V) with SOCl2 gives the corresponding 2-chloromethyl derivative (VI), which is then treated with diethylamine (A) and Na2CO3 in benzene-DMF at 60 C.

Drug Information Express,Drug R&D,Chemical Database,Patent Search.
Copyright © 2006-2026 Drug Future. All rights reserved.Contact Us