【药物名称】Moclobemide, Ro-11-1163, Moclamine, Manerix, Aurorix
化学结构式(Chemical Structure):
参考文献No.46456
标题:Benzamides
作者:Bukard, W.; Wyss, P.C. (F. Hoffmann-La Roche AG)
来源:BE 0851422; CA 1076112; DE 2706179; FR 2340940; GB 1512194; JP 52100476; NL 7701144; US 4210754; ZA 7700488
合成路线图解说明:

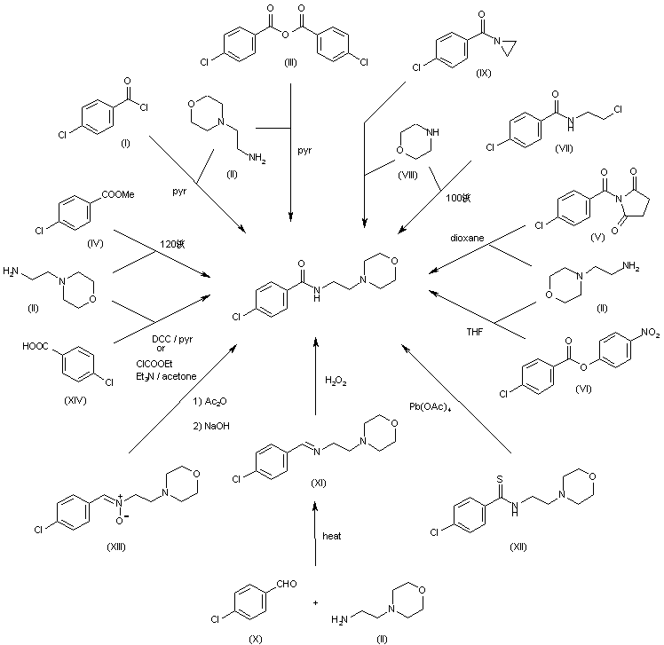
This compound can be prepared in several different ways: 1) By reaction of p-chlorobenzoyl chloride (I) with N-(2-aminoethyl)morpholine (II) in pyridine. 2) By reaction of p-chlorobenzoyl anhydride (III) with N-(2-aminoethyl)morpholine (II) in pyridine. 3) By reaction of methyl p-chlorobenzoate (IV) with N-(2-aminoethyl)morpholine (II) at 120 C. 4) By reaction of N-(p-chlorobenzoyl)succinimide (V) with N-(2-aminoethyl)morpholine (II) in dioxane. 5) By reaction of p-nitrophenyl p-chlorobenzoate (VI) with N-(2-aminoethyl)morpholine (II) in THF. 6) By reaction of p-chloro-N-(2-chloroethyl)benzamide (VII) with morpholine (VIII) at 100 C. 7) By reaction of p-chlorobenzoylaziridine (IX) with morpholine (VIII) in refluxing toluene. 8) By reaction of p-chlorobenzaldehyde (X) with N-(2-aminoethyl)morpholine (II) in refluxing benzene to give 4-[2-[(p-chlorobenzylidene)amino]ethyl]morpholine (XI), followed by an oxidation with H2O2 in methanol. 9) By reaction of p-chloro-N-(2-morpholinoethyl)thiobenzamide (XII) with lead tetraacetate in refluxing water. 11) By reaction of p-chlorobenzoic acid (XIV) with N-(2-aminoethyl)morpholine (II) by means of dicyclohexylcarbodiimide in pyridine, or by means of chloroformic acid ethyl ester and triethylamine in acetone. 10) By isomerization of (alpha-(p-chlorophenyl)-N-(2-morpholinoethyl)nitrone (XIII) in hot acetic acid - acetic anhydride, followed by a treatment with NaOH.

参考文献No.62622
标题:Moclobemide
作者:Blancafort, P.; Serradell, M.N.; Casta馿r, J.; Grau, M.
来源:Drugs Fut 1983,8(2),124
合成路线图解说明:

This compound can be prepared in several different ways: 1) By reaction of p-chlorobenzoyl chloride (I) with N-(2-aminoethyl)morpholine (II) in pyridine. 2) By reaction of p-chlorobenzoyl anhydride (III) with N-(2-aminoethyl)morpholine (II) in pyridine. 3) By reaction of methyl p-chlorobenzoate (IV) with N-(2-aminoethyl)morpholine (II) at 120 C. 4) By reaction of N-(p-chlorobenzoyl)succinimide (V) with N-(2-aminoethyl)morpholine (II) in dioxane. 5) By reaction of p-nitrophenyl p-chlorobenzoate (VI) with N-(2-aminoethyl)morpholine (II) in THF. 6) By reaction of p-chloro-N-(2-chloroethyl)benzamide (VII) with morpholine (VIII) at 100 C. 7) By reaction of p-chlorobenzoylaziridine (IX) with morpholine (VIII) in refluxing toluene. 8) By reaction of p-chlorobenzaldehyde (X) with N-(2-aminoethyl)morpholine (II) in refluxing benzene to give 4-[2-[(p-chlorobenzylidene)amino]ethyl]morpholine (XI), followed by an oxidation with H2O2 in methanol. 9) By reaction of p-chloro-N-(2-morpholinoethyl)thiobenzamide (XII) with lead tetraacetate in refluxing water. 11) By reaction of p-chlorobenzoic acid (XIV) with N-(2-aminoethyl)morpholine (II) by means of dicyclohexylcarbodiimide in pyridine, or by means of chloroformic acid ethyl ester and triethylamine in acetone. 10) By isomerization of (alpha-(p-chlorophenyl)-N-(2-morpholinoethyl)nitrone (XIII) in hot acetic acid - acetic anhydride, followed by a treatment with NaOH.

Drug Information Express,Drug R&D,Chemical Database,Patent Search.
Copyright © 2006-2026 Drug Future. All rights reserved.Contact Us