【药物名称】5-Fluorodeoxyuridine, Doxifluridine, 5-DFUR, Ro-21-9738, Furtulon
化学结构式(Chemical Structure):
参考文献No.46974
标题:5'-Deoxy-5-fluoropyrimidine nucleosides
作者:Cook, A.F. (Hoffmann-La Roche, Inc.)
来源:DE 2756653; ES 471584; FR 2374334; GB 1589688; JP 53095982; US 4071680
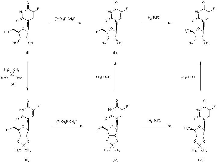
合成路线图解说明:

This compound can be prepared by several different ways: 1) The reaction of 5-fluorouridine (I) with 2,2-dimethoxypropane (A) by means of p-toluenesulfonic acid gives 2',3'-isopropylidene-5-fluorouridine (III), which is treated with triphenylphosphite methiodide in DMF to afford 5'-deoxy-5'-iodo-2',3'-isopropylidene-5-fluorouridine (IV). The reduction of (IV) with H2 over Pd/C in methanol-triethyl-amine yields 5'-deoxy-2',3'-isopropylidene-5-fluorouridine (V), which is finally hydrolyzed with aqueous trifluoroacetic acid. 2) The hydrolysis of compound (IV) with aqueous trifluoroacetic acid as before gives 5'-deoxy-5'-iodouridine (II), which is finally reduced with H2 over Pd/C as before. 3) Compound (II) can also be obtained by reaction of (I) with triphenyl phosphite methiodide as before. 4) It can also be prepared via reduction of the 5'-chloro intermediate with tributyltin hydride.

参考文献No.49510
标题:Doxifluridine
作者:Casta馿r, J.; Albonico, S.M.; Serradell, M.N.; Blancafort, P.
来源:Drugs Fut 1981,6(2),80
合成路线图解说明:

This compound can be prepared by several different ways: 1) The reaction of 5-fluorouridine (I) with 2,2-dimethoxypropane (A) by means of p-toluenesulfonic acid gives 2',3'-isopropylidene-5-fluorouridine (III), which is treated with triphenylphosphite methiodide in DMF to afford 5'-deoxy-5'-iodo-2',3'-isopropylidene-5-fluorouridine (IV). The reduction of (IV) with H2 over Pd/C in methanol-triethyl-amine yields 5'-deoxy-2',3'-isopropylidene-5-fluorouridine (V), which is finally hydrolyzed with aqueous trifluoroacetic acid. 2) The hydrolysis of compound (IV) with aqueous trifluoroacetic acid as before gives 5'-deoxy-5'-iodouridine (II), which is finally reduced with H2 over Pd/C as before. 3) Compound (II) can also be obtained by reaction of (I) with triphenyl phosphite methiodide as before. 4) It can also be prepared via reduction of the 5'-chloro intermediate with tributyltin hydride.

参考文献No.607187
标题:Fluorinated pyrimidine nucleosides. 3. Synthesis and antitumor activity of a series of 5'-deoxy-5-fluoropyrimidine nucleosides
作者:Cook, A.F.; Holman, M.J.; Kramer, M.J.; Trown, P.W.
来源:J Med Chem 1979,22(11),1330-35
合成路线图解说明:

This compound can be prepared by several different ways: 1) The reaction of 5-fluorouridine (I) with 2,2-dimethoxypropane (A) by means of p-toluenesulfonic acid gives 2',3'-isopropylidene-5-fluorouridine (III), which is treated with triphenylphosphite methiodide in DMF to afford 5'-deoxy-5'-iodo-2',3'-isopropylidene-5-fluorouridine (IV). The reduction of (IV) with H2 over Pd/C in methanol-triethyl-amine yields 5'-deoxy-2',3'-isopropylidene-5-fluorouridine (V), which is finally hydrolyzed with aqueous trifluoroacetic acid. 2) The hydrolysis of compound (IV) with aqueous trifluoroacetic acid as before gives 5'-deoxy-5'-iodouridine (II), which is finally reduced with H2 over Pd/C as before. 3) Compound (II) can also be obtained by reaction of (I) with triphenyl phosphite methiodide as before. 4) It can also be prepared via reduction of the 5'-chloro intermediate with tributyltin hydride.

参考文献No.800072
标题:Stereospecific synthesis of the anticancer agent 5'-deoxy-5-fluorouridine (5-DFUR) and its 5'-deuterated derivatives
作者:D'Souza, R.; Arnold, W.; Van Koeveringe, J.A.; Kiss, J.
来源:Helv Chim Acta 1982,65(5),1522
合成路线图解说明:

The condensation of bis(trimethylsilyl)fluorouracil (I) with 5-deoxy-1,2,3-tri-O-acetyl-D-ribofuranose (II) in the presence of trimethylsilyl trifluoromethanesulfonate (III) gives the fully protected compound (IV), which is finally deprotected by the usual methods.

参考文献No.800210
标题:Analogs of nucleosides. XVI. 5'-Halo-2',3'-sulfites in the synthesis of 2',5'-dideoxy-5-fluorouridine and related analogs
作者:Beranek, J.; Hrebabecky, H.
来源:Coll Czech Chem Commun 1978,43(15),3268-78
合成路线图解说明:

This compound can be prepared by several different ways: 1) The reaction of 5-fluorouridine (I) with 2,2-dimethoxypropane (A) by means of p-toluenesulfonic acid gives 2',3'-isopropylidene-5-fluorouridine (III), which is treated with triphenylphosphite methiodide in DMF to afford 5'-deoxy-5'-iodo-2',3'-isopropylidene-5-fluorouridine (IV). The reduction of (IV) with H2 over Pd/C in methanol-triethyl-amine yields 5'-deoxy-2',3'-isopropylidene-5-fluorouridine (V), which is finally hydrolyzed with aqueous trifluoroacetic acid. 2) The hydrolysis of compound (IV) with aqueous trifluoroacetic acid as before gives 5'-deoxy-5'-iodouridine (II), which is finally reduced with H2 over Pd/C as before. 3) Compound (II) can also be obtained by reaction of (I) with triphenyl phosphite methiodide as before. 4) It can also be prepared via reduction of the 5'-chloro intermediate with tributyltin hydride.

Drug Information Express,Drug R&D,Chemical Database,Patent Search.
Copyright © 2006-2026 Drug Future. All rights reserved.Contact Us