【药物名称】CGS-9896
化学结构式(Chemical Structure):
参考文献No.62674
标题:CGS-8216 and CGS-9896
作者:Casta馿r, J.; Blancafort, P.; Grau, M.; Serradell, M.N.
来源:Drugs Fut 1983,8(2),99
合成路线图解说明:

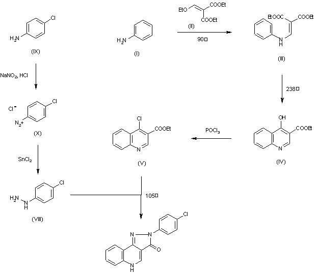
The condensation of aniline (I) with diethyl ethoxymethylenemalonate (II) by heating at 90 C gives diethyl anilinomethylenemalonate (III), which is cyclized to ethyl 4-hydroxyquinoline-3carboxylate (IV) by heating at 240 C in diphenyl ether-biphenyl. The reaction of (IV) with hot POCl3 affords ethyl-4-chloroquinoline-3-carboxylate (V), which is finally cyclized with 4-chlorophenylhydrazine (VIII) by heating at 105 C in xylene. (VIII) is prepared in the usual way starting from 4-chloroaniline (IX) by diazotation with NaNO2-HCl to 4-chlorophenyldiazonium chloride (X), and reduction with SnCl2-HCl.

参考文献No.607575
标题:2-Arylpyrazolo[4,3-c]quinolin-3-ones: A partial novel agonist and antagonist of benzodiazepines
作者:Yokoyama, N.; Ritter, B.; Neubert, A.D.
来源:J Med Chem 1982,25(4),337-339
合成路线图解说明:

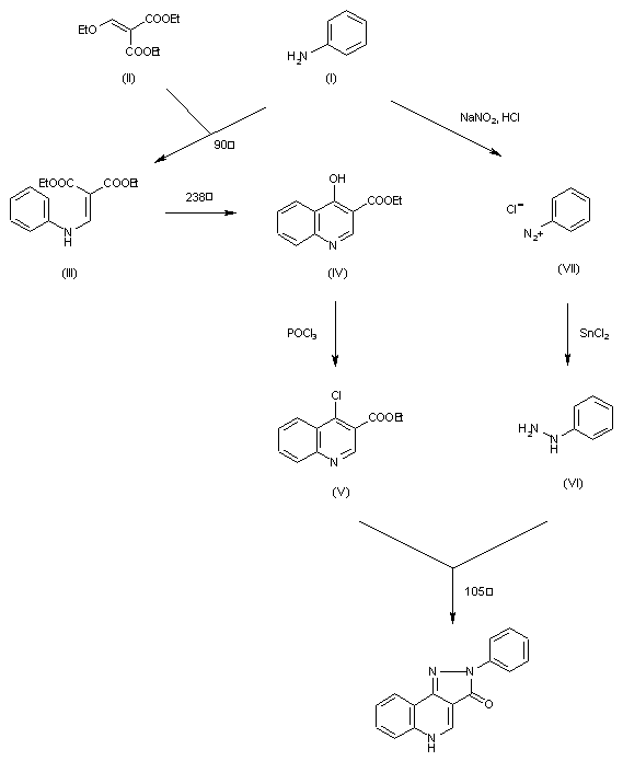
The condensation of aniline (I) with diethyl ethoxymethylenemalonate (II) by heating at 90 C gives diethyl anilinomethylenemalonate (III), which is cyclized to ethyl 4-hydroxyquinoline-3-carboxylate (IV) by heating at 240 C in diphenyl ether-biphenyl. The reaction of (IV) with hot POCl3 affords ethyl 4-chloro-quinoline-3-carboxylate (V), which is finally cyclized with phenylhydrazine (VI) by heating at 105 C in xylene. (VI) is prepared in the usual way starting from aniline (I) by diazotation with NaNO2-HCl to phenyldiazonium chloride (VII), and reduction with SnCl2-HCl.

合成路线图解说明:

The condensation of aniline (I) with diethyl ethoxymethylenemalonate (II) by heating at 90 C gives diethyl anilinomethylenemalonate (III), which is cyclized to ethyl 4-hydroxyquinoline-3carboxylate (IV) by heating at 240 C in diphenyl ether-biphenyl. The reaction of (IV) with hot POCl3 affords ethyl-4-chloroquinoline-3-carboxylate (V), which is finally cyclized with 4-chlorophenylhydrazine (VIII) by heating at 105 C in xylene. (VIII) is prepared in the usual way starting from 4-chloroaniline (IX) by diazotation with NaNO2-HCl to 4-chlorophenyldiazonium chloride (X), and reduction with SnCl2-HCl.

参考文献No.701223
标题:
作者:Yokoyama, N.
来源:US 4312870
合成路线图解说明:

The condensation of aniline (I) with diethyl ethoxymethylenemalonate (II) by heating at 90 C gives diethyl anilinomethylenemalonate (III), which is cyclized to ethyl 4-hydroxyquinoline-3-carboxylate (IV) by heating at 240 C in diphenyl ether-biphenyl. The reaction of (IV) with hot POCl3 affords ethyl 4-chloro-quinoline-3-carboxylate (V), which is finally cyclized with phenylhydrazine (VI) by heating at 105 C in xylene. (VI) is prepared in the usual way starting from aniline (I) by diazotation with NaNO2-HCl to phenyldiazonium chloride (VII), and reduction with SnCl2-HCl.

合成路线图解说明:

The condensation of aniline (I) with diethyl ethoxymethylenemalonate (II) by heating at 90 C gives diethyl anilinomethylenemalonate (III), which is cyclized to ethyl 4-hydroxyquinoline-3carboxylate (IV) by heating at 240 C in diphenyl ether-biphenyl. The reaction of (IV) with hot POCl3 affords ethyl-4-chloroquinoline-3-carboxylate (V), which is finally cyclized with 4-chlorophenylhydrazine (VIII) by heating at 105 C in xylene. (VIII) is prepared in the usual way starting from 4-chloroaniline (IX) by diazotation with NaNO2-HCl to 4-chlorophenyldiazonium chloride (X), and reduction with SnCl2-HCl.

参考文献No.701224
标题:
作者:Yokoyama, N.
来源:EP 0022078
合成路线图解说明:

The condensation of aniline (I) with diethyl ethoxymethylenemalonate (II) by heating at 90 C gives diethyl anilinomethylenemalonate (III), which is cyclized to ethyl 4-hydroxyquinoline-3-carboxylate (IV) by heating at 240 C in diphenyl ether-biphenyl. The reaction of (IV) with hot POCl3 affords ethyl 4-chloro-quinoline-3-carboxylate (V), which is finally cyclized with phenylhydrazine (VI) by heating at 105 C in xylene. (VI) is prepared in the usual way starting from aniline (I) by diazotation with NaNO2-HCl to phenyldiazonium chloride (VII), and reduction with SnCl2-HCl.

合成路线图解说明:

The condensation of aniline (I) with diethyl ethoxymethylenemalonate (II) by heating at 90 C gives diethyl anilinomethylenemalonate (III), which is cyclized to ethyl 4-hydroxyquinoline-3carboxylate (IV) by heating at 240 C in diphenyl ether-biphenyl. The reaction of (IV) with hot POCl3 affords ethyl-4-chloroquinoline-3-carboxylate (V), which is finally cyclized with 4-chlorophenylhydrazine (VIII) by heating at 105 C in xylene. (VIII) is prepared in the usual way starting from 4-chloroaniline (IX) by diazotation with NaNO2-HCl to 4-chlorophenyldiazonium chloride (X), and reduction with SnCl2-HCl.

Drug Information Express,Drug R&D,Chemical Database,Patent Search.
Copyright © 2006-2026 Drug Future. All rights reserved.Contact Us