【药物名称】Pazelliptine, SR-95225B(triHCl), NSC-629464J(triHCl), BD-40, NSC-327471D
化学结构式(Chemical Structure):
参考文献No.46542
标题:Tetracyclic compounds
作者:Van der Burg, W.J. (Akzo Nobel N.V.)
来源:BE 0840362; CH 622261; DE 2614406; DK 142498; ES 446634; FR 2305986; GB 1543171; JP 76122099; NL 754075
合成路线图解说明:

The acetylation of 2-methyl-3-aminobenzonitrile (I) with acetic anhydride in refluxing acetic acid gives 2-methyl-3-acetylaminobenzonitrile (II), which is reduced with Raney-Ni in refluxing 50% formic acid yielding 2-methyl-3-acetylaminobenzaldehyde (III). The condensation of (III) with malonic acid (IV) by means of piperidine in pyridine affords 2-methyl-3-acetylaminocinn acid (V), which is converted to the corresponding azide (VI) by reaction with ethyl chloroformate and sodium azide by means of triethylamine in acetone. The cyclization of (VI) by heating at 240 C in diphenyl ether gives 1-hydroxy-5-methyl-6-acetylaminoisoquinoline (VII), which is hydrolyzed with HCl in refluxing ethanol to 1-hydroxy-5-methyl-6-aminoisoquinoline (VIII). The condensation of (VIII) with 4-chloro-3-nitropyridine (IX) in DMF affords 1-hydroxy-5-methyl-6-[(3-nitro-4-pyridyl)amino]isoquinoline (X).

合成路线图解说明:

Compound (X) is reduced with H2 over Pd/C in acetic acid to 1-hydroxy-5-methyl-6-[(3-amino-4-pyridyl)amino]isoquinolin (Xl). The treatment of (XI) with NaNO2 in acetic acid yields 1-(1-hydroxy-5-methyl-6-isoquinolyl)triazolo[4,5-c]pyridine (XII), which is converted into 1-hydroxy-5-methyldipyrido[4,3-b][3,4-f]indole (XIII). The reaction of (XIII) with PCl5 in refluxing POCl3 gives 1-chloro-5-methyldipyrido[4,3-b][3,4-f]indole (XIV), which is finally condensed with 3-(diethylamino)propylamine (XV) by heating at 150 C.

合成路线图解说明:

Reaction of 2-chloronicotinonitrile (I) with 1-methyl-3-phenylpiperazine (II) gives 2-(4-methyl-2-phenyl-1-piperazinyl)-3-pyridinecarbonitrile (III), which is hydrolyzed to the carboxylic acid, which is reducted to the hydroxymethyl derivative (IV). Cyclization of (IV) in concentrated sulfuric acid at 20-35 C gives the title compound after 2 h and treatment with ammonia.

参考文献No.62659
标题:BD-40
作者:Hopkins, S.J.; Serradell, M.N.; Casta馿r, J.
来源:Drugs Fut 1984,9(2),96
合成路线图解说明:

The acetylation of 2-methyl-3-aminobenzonitrile (I) with acetic anhydride in refluxing acetic acid gives 2-methyl-3-acetylaminobenzonitrile (II), which is reduced with Raney-Ni in refluxing 50% formic acid yielding 2-methyl-3-acetylaminobenzaldehyde (III). The condensation of (III) with malonic acid (IV) by means of piperidine in pyridine affords 2-methyl-3-acetylaminocinn acid (V), which is converted to the corresponding azide (VI) by reaction with ethyl chloroformate and sodium azide by means of triethylamine in acetone. The cyclization of (VI) by heating at 240 C in diphenyl ether gives 1-hydroxy-5-methyl-6-acetylaminoisoquinoline (VII), which is hydrolyzed with HCl in refluxing ethanol to 1-hydroxy-5-methyl-6-aminoisoquinoline (VIII). The condensation of (VIII) with 4-chloro-3-nitropyridine (IX) in DMF affords 1-hydroxy-5-methyl-6-[(3-nitro-4-pyridyl)amino]isoquinoline (X).

合成路线图解说明:

Compound (X) is reduced with H2 over Pd/C in acetic acid to 1-hydroxy-5-methyl-6-[(3-amino-4-pyridyl)amino]isoquinolin (Xl). The treatment of (XI) with NaNO2 in acetic acid yields 1-(1-hydroxy-5-methyl-6-isoquinolyl)triazolo[4,5-c]pyridine (XII), which is converted into 1-hydroxy-5-methyldipyrido[4,3-b][3,4-f]indole (XIII). The reaction of (XIII) with PCl5 in refluxing POCl3 gives 1-chloro-5-methyldipyrido[4,3-b][3,4-f]indole (XIV), which is finally condensed with 3-(diethylamino)propylamine (XV) by heating at 150 C.

合成路线图解说明:

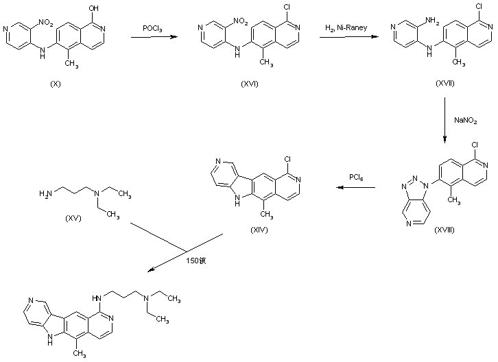
1-hydroxy-5-methyl-6-[(3-nitro-4-pyridyl)amino]isoquinoline (X) is heated with phosphorous chloride oxide to give 1-chloro-5-methyl-6-[(3-nitro-4-pyridyl)amino]isoquinoline (XVI), which is reduced with H2 over Raney-Ni giving 6-[(3-amino-4-pyridyl)amino]-1-chloro-5-methylisoquinoline (XVII). This compound is treated with sodium nitrite to give 1-(1-chloro-5-methyl-6-isoquinolyl)triazolo[4,5-c]pyridine (XVIII), which is cyclized to 1-chloro-5-methylpyrido[4,3-b][3,4-f]indole (XIV), which is finally condensed with 3-(diethylamino)propylamine (XV) by heating at 150 C.

参考文献No.800068
标题:Synthesis of 10-substituted 5H-pyrido[3',4':4,5]pyrrolo[2,3-g]isoquinolines
作者:Rivalle, C.; Lhoste, J.M.; Bisagni, E.; Duerocq, C.
来源:J Chem Soc - Perkins Trans I 1979,142-145
合成路线图解说明:

The acetylation of 2-methyl-3-aminobenzonitrile (I) with acetic anhydride in refluxing acetic acid gives 2-methyl-3-acetylaminobenzonitrile (II), which is reduced with Raney-Ni in refluxing 50% formic acid yielding 2-methyl-3-acetylaminobenzaldehyde (III). The condensation of (III) with malonic acid (IV) by means of piperidine in pyridine affords 2-methyl-3-acetylaminocinn acid (V), which is converted to the corresponding azide (VI) by reaction with ethyl chloroformate and sodium azide by means of triethylamine in acetone. The cyclization of (VI) by heating at 240 C in diphenyl ether gives 1-hydroxy-5-methyl-6-acetylaminoisoquinoline (VII), which is hydrolyzed with HCl in refluxing ethanol to 1-hydroxy-5-methyl-6-aminoisoquinoline (VIII). The condensation of (VIII) with 4-chloro-3-nitropyridine (IX) in DMF affords 1-hydroxy-5-methyl-6-[(3-nitro-4-pyridyl)amino]isoquinoline (X).

合成路线图解说明:

Compound (X) is reduced with H2 over Pd/C in acetic acid to 1-hydroxy-5-methyl-6-[(3-amino-4-pyridyl)amino]isoquinolin (Xl). The treatment of (XI) with NaNO2 in acetic acid yields 1-(1-hydroxy-5-methyl-6-isoquinolyl)triazolo[4,5-c]pyridine (XII), which is converted into 1-hydroxy-5-methyldipyrido[4,3-b][3,4-f]indole (XIII). The reaction of (XIII) with PCl5 in refluxing POCl3 gives 1-chloro-5-methyldipyrido[4,3-b][3,4-f]indole (XIV), which is finally condensed with 3-(diethylamino)propylamine (XV) by heating at 150 C.

合成路线图解说明:

1-hydroxy-5-methyl-6-[(3-nitro-4-pyridyl)amino]isoquinoline (X) is heated with phosphorous chloride oxide to give 1-chloro-5-methyl-6-[(3-nitro-4-pyridyl)amino]isoquinoline (XVI), which is reduced with H2 over Raney-Ni giving 6-[(3-amino-4-pyridyl)amino]-1-chloro-5-methylisoquinoline (XVII). This compound is treated with sodium nitrite to give 1-(1-chloro-5-methyl-6-isoquinolyl)triazolo[4,5-c]pyridine (XVIII), which is cyclized to 1-chloro-5-methylpyrido[4,3-b][3,4-f]indole (XIV), which is finally condensed with 3-(diethylamino)propylamine (XV) by heating at 150 C.

Drug Information Express,Drug R&D,Chemical Database,Patent Search.
Copyright © 2006-2026 Drug Future. All rights reserved.Contact Us