【药物名称】Brodimoprim, Ro-10-5970, Unitrim, Hyprim
化学结构式(Chemical Structure):
参考文献No.46753
标题:Benzylpyirimidine derivates
作者:Kompis, I. (F. Hoffmann-La Roche AG)
来源:CA 1017743; DE 2452889; FR 2250533; GB 1449387; JP 50077378; NL 7414528
合成路线图解说明:

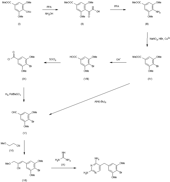
The reaction of dimethyl 2,6-dimethoxyterphthalate (I) with hydroxylamine by means of polyphosphoric acid at 70 C gives methyl 4-(N-hydroxycarbamoyl)-3,5-dimethoxybenzoate (II), which by further reaction with PPA is converted into methyl 4-amino-3,5-dimethoxybenzoate (III). The reaction of (III) with NaNO2 and HBr affords the corresponding diazonium salt, which without isolation is treated with CuBr yielding methyl-4-bromo-3,5-dimethoxybenzoate (IV). The reduction of (IV) with diisobutylaluminum hydride in THF gives 4-bromo-3,5-dimethoxybenzaldehyde (V), which is condensed with 3-methoxypropionitrile (VI) by means of sodium methoxide in refluxing methanol to yield 4-bromo-3,5-dimethoxy-alpha-(methoxymethyl)cinnamic acid nitrile (VII). Finally, this compound is cyclized with guanidine (A) by means of sodium methoxide in hot methanol DMSO. 2) The hydrolysis of (IV) with KOH in ethanol gives 4-bromo-3,5-dimethoxybenzoic acid (VIII), which is treated with SOCl2 in refluxing benzene - DMF to afford 4-bromo-3,5-dimethoxybenzoylchloride (IX). Then the reduction of (IX) with H2 over Pd/BaSO4 in xylene yields (V), already obtained.

参考文献No.63051
标题:Brodimoprim
作者:Sweetman, A.J.; Serradell, M.N.; Casta馿r, J.; Blancafort, P.
来源:Drugs Fut 1982,7(2),93
合成路线图解说明:

The reaction of dimethyl 2,6-dimethoxyterphthalate (I) with hydroxylamine by means of polyphosphoric acid at 70 C gives methyl 4-(N-hydroxycarbamoyl)-3,5-dimethoxybenzoate (II), which by further reaction with PPA is converted into methyl 4-amino-3,5-dimethoxybenzoate (III). The reaction of (III) with NaNO2 and HBr affords the corresponding diazonium salt, which without isolation is treated with CuBr yielding methyl-4-bromo-3,5-dimethoxybenzoate (IV). The reduction of (IV) with diisobutylaluminum hydride in THF gives 4-bromo-3,5-dimethoxybenzaldehyde (V), which is condensed with 3-methoxypropionitrile (VI) by means of sodium methoxide in refluxing methanol to yield 4-bromo-3,5-dimethoxy-alpha-(methoxymethyl)cinnamic acid nitrile (VII). Finally, this compound is cyclized with guanidine (A) by means of sodium methoxide in hot methanol DMSO. 2) The hydrolysis of (IV) with KOH in ethanol gives 4-bromo-3,5-dimethoxybenzoic acid (VIII), which is treated with SOCl2 in refluxing benzene - DMF to afford 4-bromo-3,5-dimethoxybenzoylchloride (IX). Then the reduction of (IX) with H2 over Pd/BaSO4 in xylene yields (V), already obtained.

合成路线图解说明:

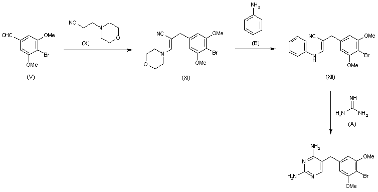
The reaction of (V) with 3-morpholinopropionitrile (X) by means of sodium methoxide in methanol - DMSO gives 4-bromo-3,5-dimethoxy-alpha-(morpholinomethyliden)hydrocinnamic acid nitrile (XI), which by reaction with aniline (B) and HCl in refluxing isopropanol is converted into 4-bromo-3,5-dimethoxy-alpha-(anilinomethyliden)hydrocinnamic acid nitrile (XII). Finally, this compound is condensed with guanidine (A) as before.

参考文献No.233451
标题:Synthesis of 4-halo-substituted analogs of trimethropin
作者:Kompis, I.; Wick, A.
来源:Helv Chim Acta 1977,60(8),3025-34
合成路线图解说明:

The reaction of dimethyl 2,6-dimethoxyterphthalate (I) with hydroxylamine by means of polyphosphoric acid at 70 C gives methyl 4-(N-hydroxycarbamoyl)-3,5-dimethoxybenzoate (II), which by further reaction with PPA is converted into methyl 4-amino-3,5-dimethoxybenzoate (III). The reaction of (III) with NaNO2 and HBr affords the corresponding diazonium salt, which without isolation is treated with CuBr yielding methyl-4-bromo-3,5-dimethoxybenzoate (IV). The reduction of (IV) with diisobutylaluminum hydride in THF gives 4-bromo-3,5-dimethoxybenzaldehyde (V), which is condensed with 3-methoxypropionitrile (VI) by means of sodium methoxide in refluxing methanol to yield 4-bromo-3,5-dimethoxy-alpha-(methoxymethyl)cinnamic acid nitrile (VII). Finally, this compound is cyclized with guanidine (A) by means of sodium methoxide in hot methanol DMSO. 2) The hydrolysis of (IV) with KOH in ethanol gives 4-bromo-3,5-dimethoxybenzoic acid (VIII), which is treated with SOCl2 in refluxing benzene - DMF to afford 4-bromo-3,5-dimethoxybenzoylchloride (IX). Then the reduction of (IX) with H2 over Pd/BaSO4 in xylene yields (V), already obtained.

合成路线图解说明:

The reaction of (V) with 3-morpholinopropionitrile (X) by means of sodium methoxide in methanol - DMSO gives 4-bromo-3,5-dimethoxy-alpha-(morpholinomethyliden)hydrocinnamic acid nitrile (XI), which by reaction with aniline (B) and HCl in refluxing isopropanol is converted into 4-bromo-3,5-dimethoxy-alpha-(anilinomethyliden)hydrocinnamic acid nitrile (XII). Finally, this compound is condensed with guanidine (A) as before.

Drug Information Express,Drug R&D,Chemical Database,Patent Search.
Copyright © 2006-2026 Drug Future. All rights reserved.Contact Us