【药物名称】ASL-7022
化学结构式(Chemical Structure):
参考文献No.63047
标题:ASL-7022
作者:Casta馿r, J.; Thorpe, P.; Serradell, M.N.
来源:Drugs Fut 1984,9(2),94
合成路线图解说明:

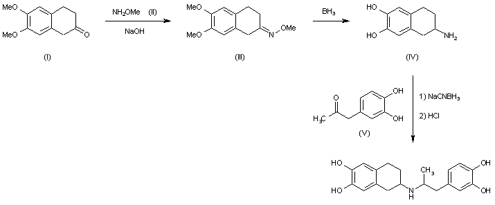
The condensation of 6,7-dimethoxy-2-tetralone (I) with methoxyamine (II) by means of NaOH in refluxing water gives 6,7-dimethoxy-2-(methoxyimino)-1,2,3,4-tetrahydronaphthalene (III), which is reduced with borane in THF yielding 2-amino-6,7-dimethoxy-1,2,3,4-tetrahydronaphthalene (IV). Finally, this compound is reductocondensed with 1-(3,4-dihydroxyphenyl)-2-propanone (V) by means of sodium cyanoborohydride in methanol, followed by a desmethylation with dry HCl in CHCl3.

参考文献No.700658
标题:
作者:
来源:PCT Int Appl 8000251
合成路线图解说明:

The condensation of 6,7-dimethoxy-2-tetralone (I) with methoxyamine (II) by means of NaOH in refluxing water gives 6,7-dimethoxy-2-(methoxyimino)-1,2,3,4-tetrahydronaphthalene (III), which is reduced with borane in THF yielding 2-amino-6,7-dimethoxy-1,2,3,4-tetrahydronaphthalene (IV). Finally, this compound is reductocondensed with 1-(3,4-dihydroxyphenyl)-2-propanone (V) by means of sodium cyanoborohydride in methanol, followed by a desmethylation with dry HCl in CHCl3.

Drug Information Express,Drug R&D,Chemical Database,Patent Search.
Copyright © 2006-2026 Drug Future. All rights reserved.Contact Us