【药物名称】Nemonapride, Emonapride, YM-09151-2, Emilace
化学结构式(Chemical Structure):
参考文献No.47159
标题:Benzamide derivatives
作者:Takashima, M.; Iwanami, S.; Usuda, S. (Yamanouchi Pharmaceutical Co., Ltd.)
来源:BE 0885435; FR 2444461; US 4210660
合成路线图解说明:

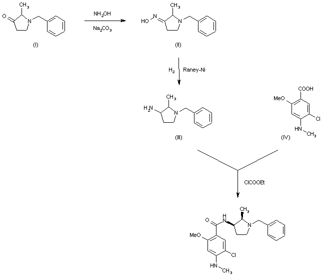
The reaction of 1-benzyl-2-methyl-3-pyrrolidone (I) with hydroxylamine by means of Na2CO3 in hot ethanol gives the corresponding oxime (II), which is reduced with H2 over Raney-Ni in methanol containing ammonia to afford 1-benzyl-2-methyl-3-aminopyrrotidine (III). Finally, this compound is condensed with 2-methoxy-4-methylamino-5-chlorobenzoic acid (IV) by means of ethyl chlorocarbonate and triethylamine in methylene chloride.

参考文献No.62067
标题:YM-09,151-2
作者:Serradell, M.N.; Casta馿r, J.; Blancafort, P.; Owen, R.T.
来源:Drugs Fut 1982,7(1),47
合成路线图解说明:

The reaction of 1-benzyl-2-methyl-3-pyrrolidone (I) with hydroxylamine by means of Na2CO3 in hot ethanol gives the corresponding oxime (II), which is reduced with H2 over Raney-Ni in methanol containing ammonia to afford 1-benzyl-2-methyl-3-aminopyrrotidine (III). Finally, this compound is condensed with 2-methoxy-4-methylamino-5-chlorobenzoic acid (IV) by means of ethyl chlorocarbonate and triethylamine in methylene chloride.

Drug Information Express,Drug R&D,Chemical Database,Patent Search.
Copyright © 2006-2026 Drug Future. All rights reserved.Contact Us