【药物名称】Trimoprostil, Ro-216937, Ro-216937/000, Ulstar
化学结构式(Chemical Structure):
参考文献No.60596
标题:RO-21-6937/000
作者:Hillier, K.; Blancafort, P.; Serradell, M.N.; Casta馿r, J.
来源:Drugs Fut 1981,6(1),42
合成路线图解说明:

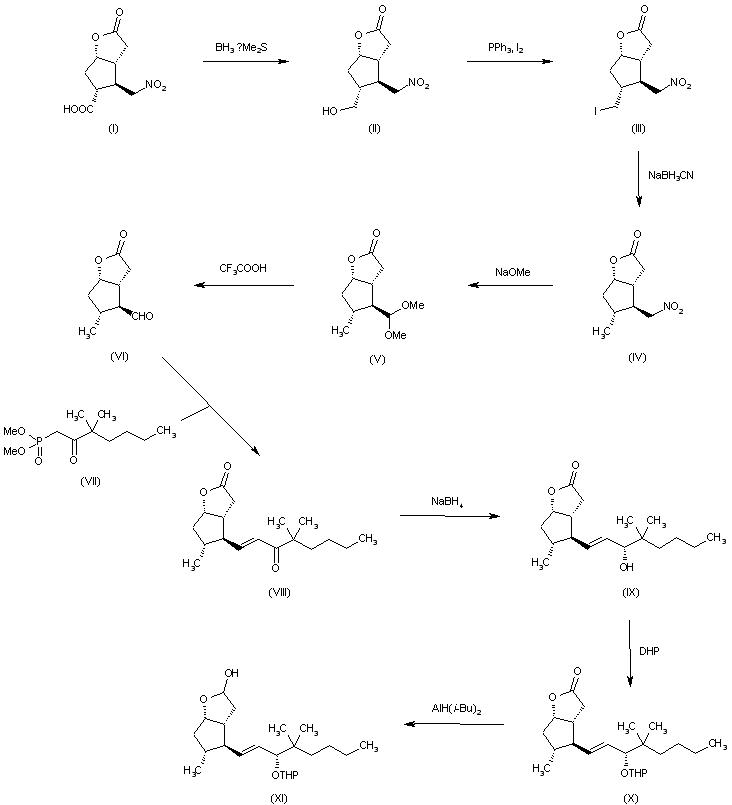
The resolution of racemic 3,3alpha-beta,4,5,6,6alpha-beta-hexahydro-4beta-nitromethyl-5alpha-carboxy-2H-cyclopenta[b]furan-2-one (I), with R(+)-alpha-methyl-p-nitrobenzylamine gives optical active 3,3aR,4,5,6,6aS-hexahydro-4R-nitromethyl-5R-carboxy-2H-cyclopenta[b]furan-2-one (I), which is reduced with borane-methyl sulfide complex in ethyl acetate yielding the corresponding hydroxymethyl compound (II). The reaction of (II) with I2 and triphenylphosphine in HMPT affords the iodomethyl derivative (III), which is finally reduced with sodium cyanoborohydride in the same solvent to give 3,3aR,4,5,6,6aS-hexahydro-4S-nitromethyl-5R-methyl-2H-cyclopenta[b]furan-2-one (IV). The treatment of (IV) with sodium methoxide in methanol and with H2SO4-methanol yields the 4S-dimethoxymethyl derivative (V), which is hydrolyzed with trifluoro acetic acid in water-CHCl3 to afford the corresponding 4S-formyl compound (VI). The Wittig reaction of (VI) with dimethyl (3,3-dimethyl-2-oxoheptyl)phosphonate (VII) in 1,2-dimethoxyethane affords 3,3aR,4,5,6,6aS-hexahydro-4R-(4,4-dimethyl-3-oxo-1-trans-octenyl)-5R-methyl-2H-cyclopenta[b]furan-2-one (VIII), which is reduced with NaBH4 in methanol to yield the corresponding 3S-hydroxy compound (IX). The protection of the hydroxy group of (IX) with dihydropyran/p-toluenesulfonic acid in CH2Cl2 affords the 3S-tetrahydropyranyloxy compound (X), which is reduced again with diisobutyl aluminum hydride in toluene to afford 3,3aR,4,5,6,6-hexahydro-4R-(4,4-dimethyl-3R-tetrahydropyranyloxy-1-trans-octenyl)-5R-methyl-2H-cyclopenta[b]furan-2-ol (XI).

合成路线图解说明:

The Wittig reaction of (XI) with (4-carboxybutyl)triphenylphosphonium bromide (XII) in HMPT gives nat-11R,16,16-trimethyl-15R-(2-tetrahydropyranyloxy)-9S-hydroxyprosta-cis-5-trans-13-dienoic acid (XIII), which is oxidized with Jones reagent (CrO3-H2SO4) affording the corresponding 9-oxo compound (XIV). Finally, this compound is hydrolyzed with acetic acid in a mixture THF-water.

参考文献No.701350
标题:
作者:Holland, G.W.; et al.
来源:US 4112225
合成路线图解说明:

The resolution of racemic 3,3alpha-beta,4,5,6,6alpha-beta-hexahydro-4beta-nitromethyl-5alpha-carboxy-2H-cyclopenta[b]furan-2-one (I), with R(+)-alpha-methyl-p-nitrobenzylamine gives optical active 3,3aR,4,5,6,6aS-hexahydro-4R-nitromethyl-5R-carboxy-2H-cyclopenta[b]furan-2-one (I), which is reduced with borane-methyl sulfide complex in ethyl acetate yielding the corresponding hydroxymethyl compound (II). The reaction of (II) with I2 and triphenylphosphine in HMPT affords the iodomethyl derivative (III), which is finally reduced with sodium cyanoborohydride in the same solvent to give 3,3aR,4,5,6,6aS-hexahydro-4S-nitromethyl-5R-methyl-2H-cyclopenta[b]furan-2-one (IV). The treatment of (IV) with sodium methoxide in methanol and with H2SO4-methanol yields the 4S-dimethoxymethyl derivative (V), which is hydrolyzed with trifluoro acetic acid in water-CHCl3 to afford the corresponding 4S-formyl compound (VI). The Wittig reaction of (VI) with dimethyl (3,3-dimethyl-2-oxoheptyl)phosphonate (VII) in 1,2-dimethoxyethane affords 3,3aR,4,5,6,6aS-hexahydro-4R-(4,4-dimethyl-3-oxo-1-trans-octenyl)-5R-methyl-2H-cyclopenta[b]furan-2-one (VIII), which is reduced with NaBH4 in methanol to yield the corresponding 3S-hydroxy compound (IX). The protection of the hydroxy group of (IX) with dihydropyran/p-toluenesulfonic acid in CH2Cl2 affords the 3S-tetrahydropyranyloxy compound (X), which is reduced again with diisobutyl aluminum hydride in toluene to afford 3,3aR,4,5,6,6-hexahydro-4R-(4,4-dimethyl-3R-tetrahydropyranyloxy-1-trans-octenyl)-5R-methyl-2H-cyclopenta[b]furan-2-ol (XI).

合成路线图解说明:

The Wittig reaction of (XI) with (4-carboxybutyl)triphenylphosphonium bromide (XII) in HMPT gives nat-11R,16,16-trimethyl-15R-(2-tetrahydropyranyloxy)-9S-hydroxyprosta-cis-5-trans-13-dienoic acid (XIII), which is oxidized with Jones reagent (CrO3-H2SO4) affording the corresponding 9-oxo compound (XIV). Finally, this compound is hydrolyzed with acetic acid in a mixture THF-water.

Drug Information Express,Drug R&D,Chemical Database,Patent Search.
Copyright © 2006-2026 Drug Future. All rights reserved.Contact Us