【药物名称】Preclamol, 3-PPP-(-)
化学结构式(Chemical Structure):
参考文献No.62039
标题:3-PPP
作者:Serradell, M.N.; Nohria, V.; Casta馿r, J.; Blancafort, P.
来源:Drugs Fut 1983,8(1),27
合成路线图解说明:

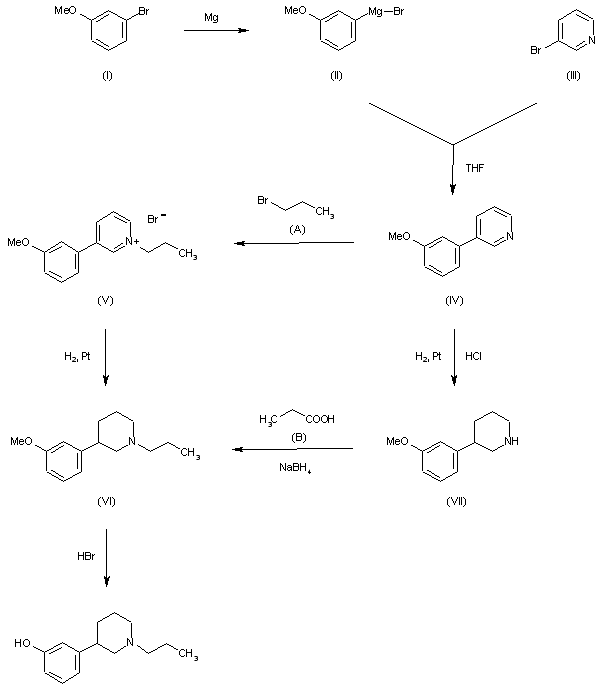
The reaction of 3-bromoanisole (I) with magnesium in THF gives 3-methoxyphenylmagnesium bromide (II), which is condensed with 3-bromopyridine (III) in THF by means of dichlorobis(triphenylphosphine)nickel yielding 3-(3-pyridinyl)anisole (IV). The alkylation of (IV) with propylbromide (A) in acetone at 110 C (under pressure) affords N-propyl-3-(3-methoxyphenyl)pyridinium bromide (V), which is reduced with H2 over Pt in methanol to give 1-propyl-3-(3-methoxyphenyl)piperidine (VI). Finally, this compound is demethylated by treatment with refluxing aqueous 48% HBr. The reduction of (IV) with H2 over Pt in methanol gives 3-(3-methoxyphenyl)piperidine (VII), which is acylated and reduced simultaneously with propionic acid (B) and NaBH4 in refluxing benzene to yield (VI), already obtained.

合成路线图解说明:

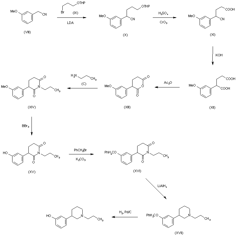
The condensation of (3-methoxyphenyl)acetonitrile (VIII) with 3-bromopropyltetrahydropyranyl ether (IX) by means of lithium diisopropylamide in THF gives 2-(3-methoxyphenyl)-5-tetrahydropyranyloxypentanonitrile (X), which is oxidized with chromic anhydride-H2SO4 yielding 4-cyano-3-(3-methoxyphenyl)butyric acid (XI). The hydrolysis of (XI) with KOH in ethanol-water affords 2-(3-methoxyphenyl)glutaric acid (XII), which is anhydrized with refluxing acetic anhydride giving 2-(3-methoxyphenyl)glutaric anhydride (XIII). The reaction of (XIII) with propylamine (C) in refluxing benzene yields 2-(3-methoxyphenyl)-N-propylglutarimide (XIV), which is demethylated with BBr3 in methylene chloride to 2-(3-hydroxyphenyl)-N-propylglutarimide (XV). The benzylation of (XV) with benzyl bromide and K2CO3 in DMF affords 2-(3-benzyloxyphenyl)-N-propylglutarimide (XVI), which is reduced with LiAlH4 in THF giving 3-(3-benzyloxyphenyl)-N-propylpiperidine (XVII). Finally, this compound is debenzylated by hydrogenolysis with H2 over Pd/C in AcOH.

参考文献No.607588
标题:3-Phenylpiperidines. Central dopamine-autoreceptor stimulating activity
作者:Hacksell, U.; Arvidsson, L.E.; Svensson, U.; Nilsson, J.L.G.; S醤chez, D.; Wikstrom, H.; Lindberg, P.; Hjorth, S.; Carlsson, A.
来源:J Med Chem 1981,24(12),1475-82
合成路线图解说明:

The reaction of 3-bromoanisole (I) with magnesium in THF gives 3-methoxyphenylmagnesium bromide (II), which is condensed with 3-bromopyridine (III) in THF by means of dichlorobis(triphenylphosphine)nickel yielding 3-(3-pyridinyl)anisole (IV). The alkylation of (IV) with propylbromide (A) in acetone at 110 C (under pressure) affords N-propyl-3-(3-methoxyphenyl)pyridinium bromide (V), which is reduced with H2 over Pt in methanol to give 1-propyl-3-(3-methoxyphenyl)piperidine (VI). Finally, this compound is demethylated by treatment with refluxing aqueous 48% HBr. The reduction of (IV) with H2 over Pt in methanol gives 3-(3-methoxyphenyl)piperidine (VII), which is acylated and reduced simultaneously with propionic acid (B) and NaBH4 in refluxing benzene to yield (VI), already obtained.

参考文献No.701213
标题:
作者:Arvidsson, F.L.E.; et al.
来源:EP 0030526
合成路线图解说明:

The reaction of 3-bromoanisole (I) with magnesium in THF gives 3-methoxyphenylmagnesium bromide (II), which is condensed with 3-bromopyridine (III) in THF by means of dichlorobis(triphenylphosphine)nickel yielding 3-(3-pyridinyl)anisole (IV). The alkylation of (IV) with propylbromide (A) in acetone at 110 C (under pressure) affords N-propyl-3-(3-methoxyphenyl)pyridinium bromide (V), which is reduced with H2 over Pt in methanol to give 1-propyl-3-(3-methoxyphenyl)piperidine (VI). Finally, this compound is demethylated by treatment with refluxing aqueous 48% HBr. The reduction of (IV) with H2 over Pt in methanol gives 3-(3-methoxyphenyl)piperidine (VII), which is acylated and reduced simultaneously with propionic acid (B) and NaBH4 in refluxing benzene to yield (VI), already obtained.

参考文献No.800328
标题:An efficient synthesis of 3-arylpiperidines
作者:Brands, F.T.L.; Loozen, H.J.J.
来源:J R Neth Chem Soc 1981,100(9),333-336
合成路线图解说明:

The condensation of (3-methoxyphenyl)acetonitrile (VIII) with 3-bromopropyltetrahydropyranyl ether (IX) by means of lithium diisopropylamide in THF gives 2-(3-methoxyphenyl)-5-tetrahydropyranyloxypentanonitrile (X), which is oxidized with chromic anhydride-H2SO4 yielding 4-cyano-3-(3-methoxyphenyl)butyric acid (XI). The hydrolysis of (XI) with KOH in ethanol-water affords 2-(3-methoxyphenyl)glutaric acid (XII), which is anhydrized with refluxing acetic anhydride giving 2-(3-methoxyphenyl)glutaric anhydride (XIII). The reaction of (XIII) with propylamine (C) in refluxing benzene yields 2-(3-methoxyphenyl)-N-propylglutarimide (XIV), which is demethylated with BBr3 in methylene chloride to 2-(3-hydroxyphenyl)-N-propylglutarimide (XV). The benzylation of (XV) with benzyl bromide and K2CO3 in DMF affords 2-(3-benzyloxyphenyl)-N-propylglutarimide (XVI), which is reduced with LiAlH4 in THF giving 3-(3-benzyloxyphenyl)-N-propylpiperidine (XVII). Finally, this compound is debenzylated by hydrogenolysis with H2 over Pd/C in AcOH.

Drug Information Express,Drug R&D,Chemical Database,Patent Search.
Copyright © 2006-2026 Drug Future. All rights reserved.Contact Us