【药物名称】Losulazine hydrochloride, U-54669F
化学结构式(Chemical Structure):
参考文献No.9340
标题:Process for 4-amino quinolines
作者:McCall, J.M. (Pharmacia Corp.)
来源:EP 0215902; JP 1987502339; WO 8605489
合成路线图解说明:

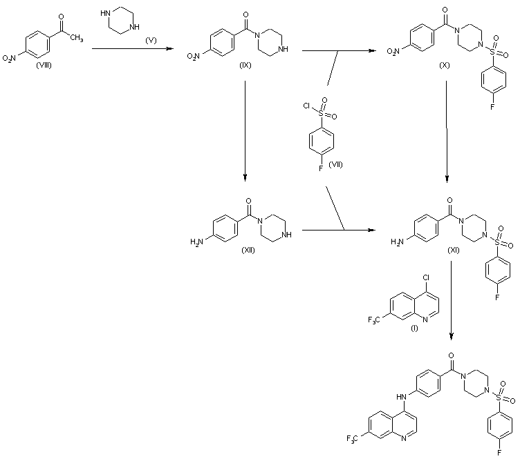
3) The third synthesis starts with acylation of piperazine (V) with 4-nitrobenzoyl chloride (VIII) to the corresponding amide (IX), which is sulfonated with 4-fluorobenzenesulfonyl chloride (VII) yielding 1-(4-nitrobenzoyl)-4-(4-fluorobenzenesulfonyl)piperazine (X). The reduction of the nitro group of (X) affords the corresponding amino derivative (XI) [also obtained by previous reduction of (IX) to 1-(4-aminobenzoyl)piperazine (XII) and sulfonation with (VII) as before]. Finally, (XI) is condensed with quinoline (I) to give U-54669 F. This is an economically better method since the most expensive product [quinoline (I)] is used in the last step of the synthesis, so obtaining better yields.

参考文献No.9813
标题:Aminoquinolines
作者:McCall, J.M. (Pharmacia Corp.)
来源:GB 2021567
合成路线图解说明:

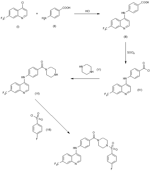
The earlier synthesis starts with the reaction of 4-chloro-7-(trifluoromethyl)quinoline (I) with 4-aminobenzoic acid (II) in ethanol-HCl giving 4-(4-carboxyphenylamino)-7-(trifluoromethyl)quinoline (III), which is converted to its acyl chloride (IV) by treatment with SOCl2. The reaction of (IV) with piperazine (V) yields 1-[4-[7-(trifluoromethyl)quinolin-4-ylamino]benzoyl]piperazine (VI), which is finally acylated with 4-fluorobenzenesulfonyl chloride (VII) to give U-54669 F. However, this method is not economically efficient, since the most expensive compound [quinoline (I)] is already used in the first step of the synthesis.

合成路线图解说明:

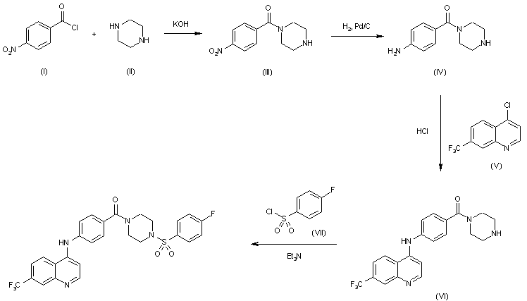
The condensation of 4-nitrobenzoyl chloride (I) with piperazine (II) in water by means of KOH gives 4-nitrobenzoylpiperazine (III), which is reduced with H2 over Pd/C in methanol yielding 4-aminobenzoyl piperazine (IV). The condensation of (IV) with 4-chloro-7-trifluoromethylquinoline (V) by means of HCl in refluxing ethanol affords 4-[4-[[7-(trifluoromethyl)-4-quinolinyl]amino]benzoyl]piperazine (VI), which is finally acylated with 4-fluorobenzenesulfonyl chloride (VII) by means of triethylamine in THF.

参考文献No.66714
标题:U-54669-F
作者:Casta馿r, J.; Serradell, M.N.
来源:Drugs Fut 1984,9(1),36
合成路线图解说明:

The condensation of 4-nitrobenzoyl chloride (I) with piperazine (II) in water by means of KOH gives 4-nitrobenzoylpiperazine (III), which is reduced with H2 over Pd/C in methanol yielding 4-aminobenzoyl piperazine (IV). The condensation of (IV) with 4-chloro-7-trifluoromethylquinoline (V) by means of HCl in refluxing ethanol affords 4-[4-[[7-(trifluoromethyl)-4-quinolinyl]amino]benzoyl]piperazine (VI), which is finally acylated with 4-fluorobenzenesulfonyl chloride (VII) by means of triethylamine in THF.

Drug Information Express,Drug R&D,Chemical Database,Patent Search.
Copyright © 2006-2026 Drug Future. All rights reserved.Contact Us