【药物名称】Fenoldopam mesilate, SK&F-82526J, Corlopam
化学结构式(Chemical Structure):
参考文献No.3049
标题:Benz-tetrasubstituted 1-phenyl-2,3,4,5-tetrahydro-1H-3-benzazepines
作者:Weinstock, J. (SmithKline Beecham plc)
来源:EP 0004794; JP 54135787; JP 63065663B; US 4171359
合成路线图解说明:

The condensation of 2-chloro-3,4-dimethoxyphenylethylamine (I) with 4-methoxystyrene oxide (II) in refluxing THF gives the hydroxy phenylethylamine (III). The yield of this reaction is only 19%. In a better sequence (I) is heated with methyl 4-methoxymandelate (IV) to give the mandelamide (V), which is then reduced without purification by B2H6 in THF to give (III). The latter is cyclized by treatment with trifluoroacetic acid - sulfuric acid yielding 6-chloro-7,8-dimethoxy-1-(4-methoxyphenyl)-2,3,4,5-tetrahydro-(1H)-3-benzazepine (VI). Finally, this compound is demethylated by treatment with BBr3 in methylene chloride and treated with methanesulfonic acid.

参考文献No.62071
标题:SKF-82,526-J
作者:Casta馿r, J.; Serradell, M.N.; Blancafort, P.
来源:Drugs Fut 1982,7(1),32
合成路线图解说明:

The condensation of 2-chloro-3,4-dimethoxyphenylethylamine (I) with 4-methoxystyrene oxide (II) in refluxing THF gives the hydroxy phenylethylamine (III). The yield of this reaction is only 19%. In a better sequence (I) is heated with methyl 4-methoxymandelate (IV) to give the mandelamide (V), which is then reduced without purification by B2H6 in THF to give (III). The latter is cyclized by treatment with trifluoroacetic acid - sulfuric acid yielding 6-chloro-7,8-dimethoxy-1-(4-methoxyphenyl)-2,3,4,5-tetrahydro-(1H)-3-benzazepine (VI). Finally, this compound is demethylated by treatment with BBr3 in methylene chloride and treated with methanesulfonic acid.

参考文献No.607198
标题:Separation of potent central and renal dopamine agonist activity in substituted 6-chloro-2,3,4,5-tetrahydro-7,8-dihydroxy-1-phenyl-1H-3-benzazepines
作者:Weinstock, J.; Wilson, J.W.; Ladd, D.L.; Bush, C.K.; Pfieffer, F.R.; Kuo, G.Y.; Holden, K.G.; Yim, N.C.F.; Hahn, R.A.; Wardell, J.R.; Tobia, A.J.; Setler, P.E.; Sarau, H.M.; Ridley, P.T.
来源:J Med Chem 1980,23(9),973-975
合成路线图解说明:

The condensation of 2-chloro-3,4-dimethoxyphenylethylamine (I) with 4-methoxystyrene oxide (II) in refluxing THF gives the hydroxy phenylethylamine (III). The yield of this reaction is only 19%. In a better sequence (I) is heated with methyl 4-methoxymandelate (IV) to give the mandelamide (V), which is then reduced without purification by B2H6 in THF to give (III). The latter is cyclized by treatment with trifluoroacetic acid - sulfuric acid yielding 6-chloro-7,8-dimethoxy-1-(4-methoxyphenyl)-2,3,4,5-tetrahydro-(1H)-3-benzazepine (VI). Finally, this compound is demethylated by treatment with BBr3 in methylene chloride and treated with methanesulfonic acid.

参考文献No.700791
标题:Method for 6-bromination of 1-phenyl-2,3,4,5-tetrahydro-1H-3-benzazepine compounds
作者:Weinstock, J.
来源:BE 0860774; DD 2751258; DE 133563; FR 2371430; JP 53063335; NL 7712567; US 4160765; ZA 7705910
合成路线图解说明:

The condensation of 2-chloro-3,4-dimethoxyphenylethylamine (I) with 4-methoxystyrene oxide (II) in refluxing THF gives the hydroxy phenylethylamine (III). The yield of this reaction is only 19%. In a better sequence (I) is heated with methyl 4-methoxymandelate (IV) to give the mandelamide (V), which is then reduced without purification by B2H6 in THF to give (III). The latter is cyclized by treatment with trifluoroacetic acid - sulfuric acid yielding 6-chloro-7,8-dimethoxy-1-(4-methoxyphenyl)-2,3,4,5-tetrahydro-(1H)-3-benzazepine (VI). Finally, this compound is demethylated by treatment with BBr3 in methylene chloride and treated with methanesulfonic acid.

参考文献No.803857
标题:The chemistry and pharmacology of 3-benzazepines derivatives
作者:Hieble, J.P.; Wilson III, J.W.; Weinstock, J.
来源:Drugs Fut 1985,10(8),645
合成路线图解说明:

By condensation of styrene oxide (I) with 3,4-dimethoxyphenylethylamine (II) at 100 C to give N-(beta-hydroxy-beta-phenyl)ethyl-2-(3',4'-dimethoxyphenyl)ehtylamine (III), which is cyclized with H2SO4 to 1-phenyl-7,8-dimethoxy-2,3,4,5-tetrahydro-3,1-benzazepine (IV). This product is finally methylated with a refluxing mixture of formaldehyde and formic acid.

合成路线图解说明:

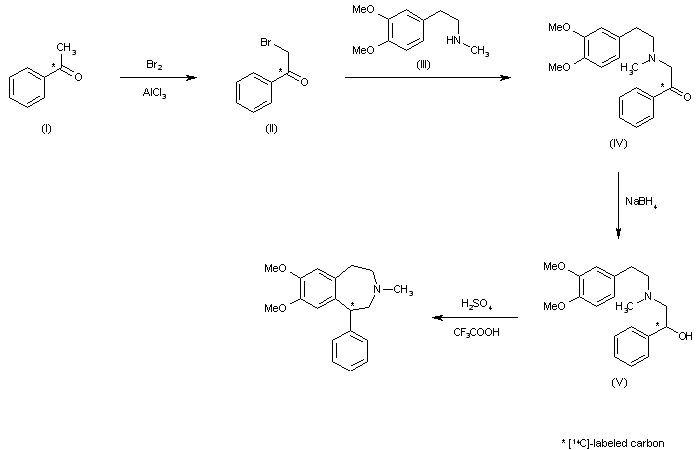
The bromination of labeled acetophenone (I) with Br2 and AlCl3 gives phenacyl bromide (II), which is condensed with N-[2-(3,4-dimethoxyphenyl)ethyl]-N-methylamine (III), yielding the 2-aminoacetophenone (IV). The reduction of (IV) with NaBH4 affords the secondary alcohol (V), which is finally cyclized by means of H2SO4 and trifluoroacetic acid to provide the target 3-benzazepine.

合成路线图解说明:

The condensation of 2-chloro-3,4-dimethoxyphenylethylamine (I) with 4-methoxystyrene oxide (II) in refluxing THF gives the hydroxy phenylethylamine (III). The yield of this reaction is only 19%. In a better sequence (I) is heated with methyl 4-methoxymandelate (IV) to give the mandelamide (V), which is then reduced without purification by B2H6 in THF to give (III). The latter is cyclized by treatment with trifluoroacetic acid - sulfuric acid yielding 6-chloro-7,8-dimethoxy-1-(4-methoxyphenyl)-2,3,4,5-tetrahydro-(1H)-3-benzazepine (VI). Finally, this compound is demethylated by treatment with BBr3 in methylene chloride and treated with methanesulfonic acid.

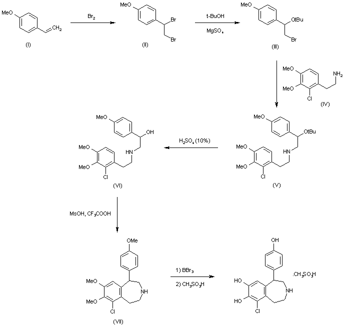
合成路线图解说明:

The bromination of 4-methoxystyrene (I) with Br2 gives the alpha,beta-dibromo derivative (II), which by selective debromination with potassium tert-butoxide yields the tert-butyl ether (III). The condensation of (III) with 2-(2-chloro-3,4-dimethoxyphenyl)ethylamine (IV) affords the secondary amine (V), which is deprotected with H2SO4 to provide the substituted ethanolamine (VI). The cyclization of (VI) by means of Ms-OH and trifluoroacetic acid gives the 3-benzazepine (VII), which is finally demethylated with BBr3 and treated with methanesulfonic acid to afford the target mesylate.

合成路线图解说明:

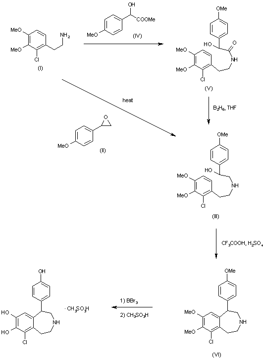
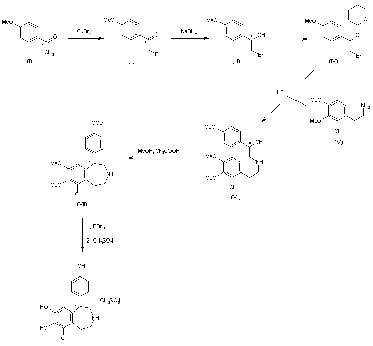
The bromination of labeled 4'-methoxyacetophenone (I) with CuBr2 gives 4'-methoxyphenacyl bromide (II), which is reduced with NaBH4, yielding the carbinol (III). The protection of (III) with DHP affords the tetrahydropyranyl ether (IV), which is condensed with 2-(2-chloro-3,4-dimethoxyphenyl)ethylamine (V) and acidified to provide the aminoalcohol (VI). The cyclization of (VI) with MsOH and trifluoroacetic acid furnishes labeled 6-chloro-7,8-dimethoxy-1-(4-methoxyphenyl)-2,3,4,5-tetrahydro-1H-3-benzazepine (VII), which is finally demethylated with BBr3 and MsOH.

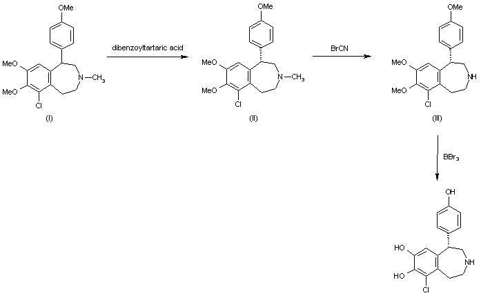
合成路线图解说明:

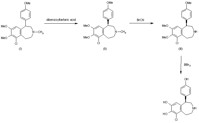
The optical resolution of the racemic 6-chloro-7,8-dimethoxy-1-(4-methoxyphenyl)-3-methyl-2,3,4,5-tetrahydro-1H-3-benzazepine (I) (+)- or (-)-dibenzoyltartaric acid gives the corresponding (R)-isomer (II), which is N-demethylated by means of BrCN to yield 6-chloro-7,8-dimethoxy-1(R)-(4-methoxyphenyl)-3-methyl-2,3,4,5-tetrahydro-1H-3-benzazepine (III). Finally, this compound is fully demethylated by treatment with BBr3. The optical resolution can also be performed by treatment of racemic (III) with (+)- or (-)-dibenzoyltartaric acid.

合成路线图解说明:

The optical resolution of the racemic 6-chloro-7,8-dimethoxy-1-(4-methoxyphenyl)-3-methyl-2,3,4,5-tetrahydro-1H-3-benzazepine (I) (+)- or (-)-dibenzoyltartaric acid gives the corresponding (S)-isomer (II), which is N-demethylated by means of BrCN to yield 6-chloro-7,8-dimethoxy-1(S)-(4-methoxyphenyl)-3-methyl-2,3,4,5-tetrahydro-1H-3-benzazepine (III). Finally, this compound is fully demethylated by treatment with BBr3. The optical resolution can also be performed by treatment of racemic (III) with (+)- or (-)-dibenzoyltartaric acid.

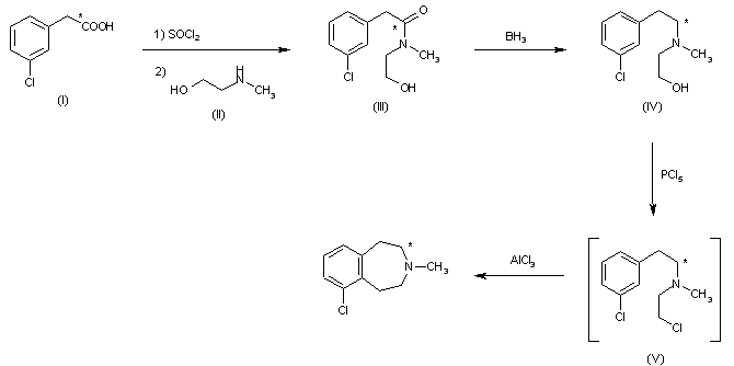
合成路线图解说明:

The condensation of labeled 2-(3-chlorphenyl)acetic acid (I) with N-methylethanolamine (II) by means of SOCl2 gives the corresponding amide (III), which is reduced with BH3, yielding the tertiary amine (IV). The reaction of (IV) with PCl3 affords the chloroethylamine (V), which is finally cyclized by means of AlCl3 to provide the target benzazepine.

合成路线图解说明:

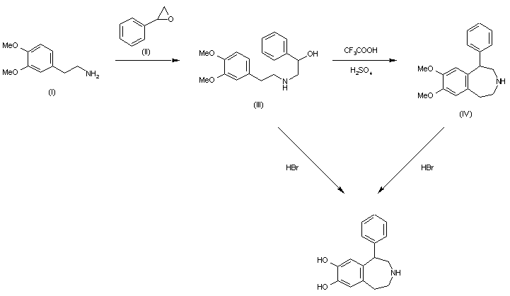
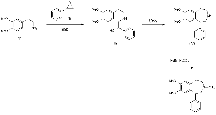
The condensation of 3,4-dimethoxyphenethylamine (I) with styrene oxide (II) by heating at 100 C gives N-[2-(3,4-dimethoxyphenyl)ethyl]-2-phenyl-2-hydroxyethylamine (III), which can be cyclized with H2SO4 in refluxing trifluoroacetic acid yielding 2,3,4,5-tetrahydro-7,8-dimethoxy-1-phenyl-1H-3-benzazepine (IV). Finally, intermediate (IV) is demethylated with refluxing 48% HBr (III) can also by cyclized and demethylated simultaneously by refluxing with 48% HBr.

合成路线图解说明:

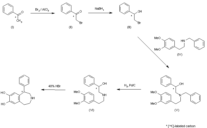
The bromination of labeled acetophenone (I) with Br2 and AlCl3 gives the phenacyl bromide (II), which is reduced with NaBH4, yielding 2-bromo-1-phenylethanol (III). The condensation of (III) with N-benzyl-N-[2-(3,4-dimethoxyphenyl)ethyl]amine (IV) affords the tertiary amine (V), which is debenzylated by hydrogenolysis with H2 over Pd/C to provide the substituted ethanolamine (VI). Finally, this compound is cyclized and demethylated by treatment with 48% HBr to provide the target benzazepine.

合成路线图解说明:

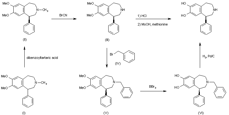
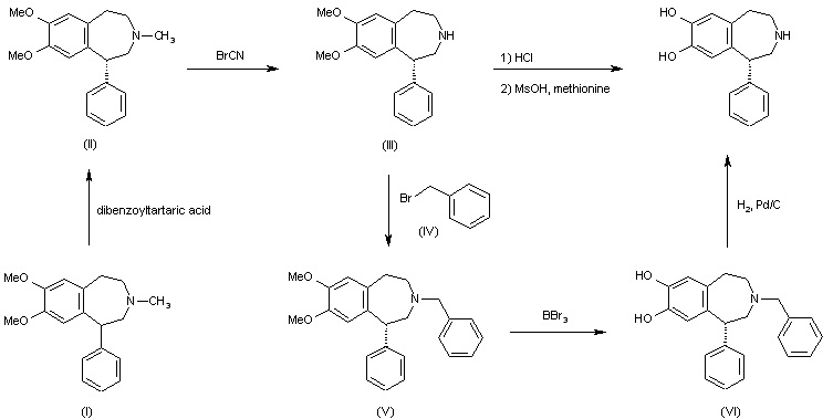
The optical resolution of the racemic 7,8-dimethoxy-3-methyl-1-phenyl-2,3,4,5-tetrahydro-1H-3-benzazepine (I) (+)- or (-)-dibenzoyltartaric acid gives the corresponding (S)-isomer (II), which is N-demethylated by means of CN-Br to yield 7,8-dimethoxy-1(S)-phenyl-2,3,4,5-tetrahydro-1H-3-benzazepine (III). Finally, this compound is fully demethylated by treatment with MsOH and methionine. An earlier alternative route to demethylation of (III) involves its conversion to the N-benzyl derivative (V) with benzyl bromide (IV), followed by demethylation with BBr3, yielding (VI), and final debenzylation with H2 over Pd/C.

合成路线图解说明:

The optical resolution of the racemic 7,8-dimethoxy-3-methyl-1-phenyl-2,3,4,5-tetrahydro-1H-3-benzazepine (I) (+)- or (-)-dibenzoyltartaric acid gives the corresponding (R)-isomer (II), which is N-demethylated by means of CN-Br to yield 7,8-dimethoxy-1(R)-phenyl-2,3,4,5-tetrahydro-1H-3-benzazepine (III). Finally, this compound is fully demethylated by treatment with Ms-OH and methionine. An earlier alternative route to demethylation of (III) involves its conversion to the N-benzyl derivative (V) with benzyl bromide (IV), followed by demethylation with BBr3, yielding (VI), and final debenzylation with H2 over Pd/C.

参考文献No.803900
标题:Stereoselectivity of some new dopamine receptor agonists
作者:Webb, R.L.; Horodniak, J.W.; Dandridge, P.A.; Sarau, H.M.; Setler, P.E.; Weinstock, J.; Ackerman, D.M.; Kaiser, C.; Matz, E.D.
来源:Acta Pharm Suec 1983,2132-150
合成路线图解说明:

The optical resolution of the racemic 6-chloro-7,8-dimethoxy-1-(4-methoxyphenyl)-3-methyl-2,3,4,5-tetrahydro-1H-3-benzazepine (I) (+)- or (-)-dibenzoyltartaric acid gives the corresponding (R)-isomer (II), which is N-demethylated by means of BrCN to yield 6-chloro-7,8-dimethoxy-1(R)-(4-methoxyphenyl)-3-methyl-2,3,4,5-tetrahydro-1H-3-benzazepine (III). Finally, this compound is fully demethylated by treatment with BBr3. The optical resolution can also be performed by treatment of racemic (III) with (+)- or (-)-dibenzoyltartaric acid.

合成路线图解说明:

The optical resolution of the racemic 6-chloro-7,8-dimethoxy-1-(4-methoxyphenyl)-3-methyl-2,3,4,5-tetrahydro-1H-3-benzazepine (I) (+)- or (-)-dibenzoyltartaric acid gives the corresponding (S)-isomer (II), which is N-demethylated by means of BrCN to yield 6-chloro-7,8-dimethoxy-1(S)-(4-methoxyphenyl)-3-methyl-2,3,4,5-tetrahydro-1H-3-benzazepine (III). Finally, this compound is fully demethylated by treatment with BBr3. The optical resolution can also be performed by treatment of racemic (III) with (+)- or (-)-dibenzoyltartaric acid.

参考文献No.900131
标题:
作者:
来源:US 4321195
合成路线图解说明:

The bromination of 4-methoxystyrene (I) with Br2 gives the alpha,beta-dibromo derivative (II), which by selective debromination with potassium tert-butoxide yields the tert-butyl ether (III). The condensation of (III) with 2-(2-chloro-3,4-dimethoxyphenyl)ethylamine (IV) affords the secondary amine (V), which is deprotected with H2SO4 to provide the substituted ethanolamine (VI). The cyclization of (VI) by means of Ms-OH and trifluoroacetic acid gives the 3-benzazepine (VII), which is finally demethylated with BBr3 and treated with methanesulfonic acid to afford the target mesylate.

Drug Information Express,Drug R&D,Chemical Database,Patent Search.
Copyright © 2006-2026 Drug Future. All rights reserved.Contact Us