【药物名称】NSC-264880, DHAC
化学结构式(Chemical Structure):
参考文献No.62078
标题:DHAC
作者:Pento, J.T.
来源:Drugs Fut 1984,9(1),15
合成路线图解说明:

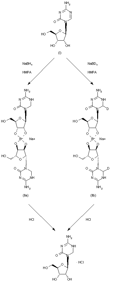
Borohydride reduction of 5-azacytidine (I) gives 5,6-dihydro-5-azacytidine hydrochloride (II) after acid hydrolysis of a boron-containing intermediate.

参考文献No.607164
标题:Synthesis and antitumor activity of dihydro-5-azacytidine, a hydrolytically stable analogue of 5-zacytidine
作者:Beisler, J.A.; Abbasi, M.M.; Kelley, J.A.; Driscoll, J.S.
来源:J Med Chem 1977,20(6),806-812
合成路线图解说明:

Borohydride reduction of 5-azacytidine (I) gives 5,6-dihydro-5-azacytidine hydrochloride (II) after acid hydrolysis of a boron-containing intermediate.

Drug Information Express,Drug R&D,Chemical Database,Patent Search.
Copyright © 2006-2026 Drug Future. All rights reserved.Contact Us