【药物名称】Bufuralol, Ro-34787
化学结构式(Chemical Structure):
参考文献No.47819
标题:Verfahren zur Herstellung von Benzofuranderivaten
作者:Osbon, J.M.; et al. (Bristol-Myers Squibb Co.)
来源:CH 498109; DE 1543653; FR 1479002; FR 6011M; GB 1106057; NL 6606441
合成路线图解说明:

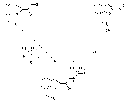
The condensation of tert-butylamine (II) with 2-(2-chloro-1-hydroxyethyl)-7-ethylbenzofuran (I) or with 2-epoxyehtyl-7-ethylbenzofuran (III) in refluxing ethanol.

参考文献No.62045
标题:Bufuralol
作者:Casta馿r, J.; Prous, J.R.
来源:Drugs Fut 1976,1(1),11
合成路线图解说明:

The condensation of tert-butylamine (II) with 2-(2-chloro-1-hydroxyethyl)-7-ethylbenzofuran (I) or with 2-epoxyehtyl-7-ethylbenzofuran (III) in refluxing ethanol.

Drug Information Express,Drug R&D,Chemical Database,Patent Search.
Copyright © 2006-2026 Drug Future. All rights reserved.Contact Us