【药物名称】Arildone, Win-38020
化学结构式(Chemical Structure):
参考文献No.62048
标题:Arildone
作者:Hopkins, S.J.; Casta馿r, J.
来源:Drugs Fut 1978,3(1),12
合成路线图解说明:

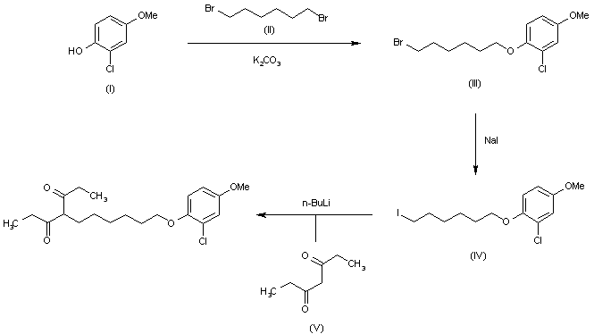
Condensation of 2-chloro-4-methoxyphenol (I) with 1,6-dibromohexane (II) by means of K2CO3 in refluxing acetone to give 1-(2-chloro-4-methoxyphenoxy)-6-bromohexane (III), which is converted into the corresponding iodo derivative (IV) by treatment with NaI in refluxing acetone. Finally, (IV) is treated with the lithium salt of 3,5-heptanedione (V) in ether - DMF.

合成路线图解说明:

Condensation of the lithium salt of 3,5-heptanedione (V) with 1,6-dibromohexane (II) in DMF giving 4-(6-bromohexyl)-3,5-heptanedione (VI), which is then condensed with 2-chloro-4-methoxyphenol (I) by means of NaH in DMF.

参考文献No.607167
标题:Antiviral acticity of some beta-diketones. 2. Aryloxy alkyl diketones. In vitro activity aganist both RNA and DNA viruses
作者:Diana, G.D.; Salvador, U.J..; Zalay, E.S.; Carabateas, P.M.; Williams, G.L.; Collins, J.C.; Pancic, F.
来源:J Med Chem 1977,20(6),757-761
合成路线图解说明:

Condensation of 2-chloro-4-methoxyphenol (I) with 1,6-dibromohexane (II) by means of K2CO3 in refluxing acetone to give 1-(2-chloro-4-methoxyphenoxy)-6-bromohexane (III), which is converted into the corresponding iodo derivative (IV) by treatment with NaI in refluxing acetone. Finally, (IV) is treated with the lithium salt of 3,5-heptanedione (V) in ether - DMF.

合成路线图解说明:

Condensation of the lithium salt of 3,5-heptanedione (V) with 1,6-dibromohexane (II) in DMF giving 4-(6-bromohexyl)-3,5-heptanedione (VI), which is then condensed with 2-chloro-4-methoxyphenol (I) by means of NaH in DMF.

参考文献No.800546
标题:3,4-Methylenedioxyphenoxy-alkyl diketones and keto-esters
作者:Collins, J.C.; Diana, G.D.
来源:DE 2435378
合成路线图解说明:

Condensation of 2-chloro-4-methoxyphenol (I) with 1,6-dibromohexane (II) by means of K2CO3 in refluxing acetone to give 1-(2-chloro-4-methoxyphenoxy)-6-bromohexane (III), which is converted into the corresponding iodo derivative (IV) by treatment with NaI in refluxing acetone. Finally, (IV) is treated with the lithium salt of 3,5-heptanedione (V) in ether - DMF.

Drug Information Express,Drug R&D,Chemical Database,Patent Search.
Copyright © 2006-2026 Drug Future. All rights reserved.Contact Us