【药物名称】Carumonam sodium, Ro-17-2301/006, AMA-1080, Mobactam, Amasulin
化学结构式(Chemical Structure):
参考文献No.62311
标题:Carumonam Sodium
作者:Christenson, J.; Squires, E.
来源:Drugs Fut 1985,10(12),967
合成路线图解说明:

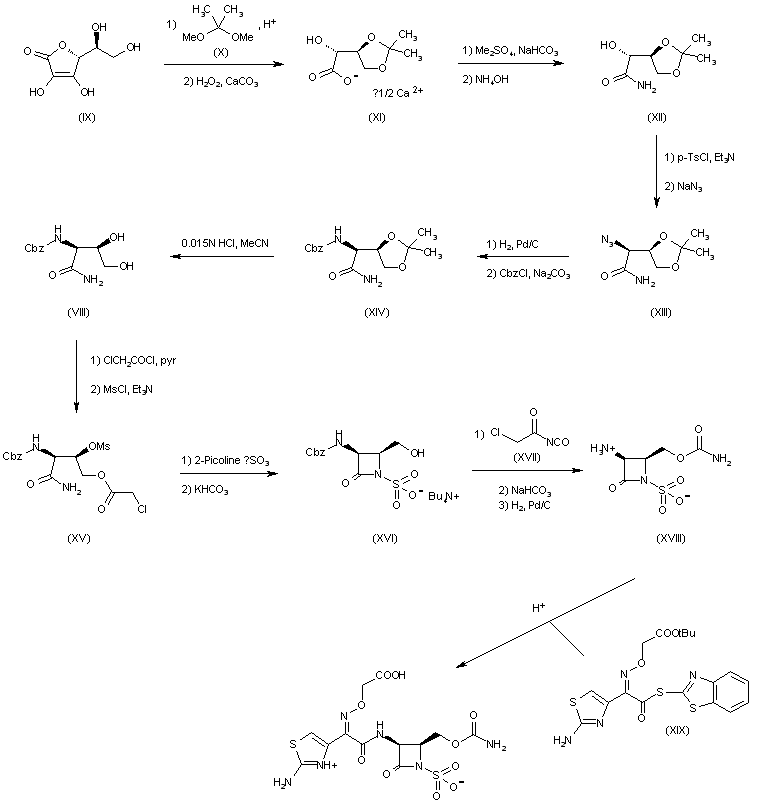
L-threonic acid (XI), which is readily available from L-ascorbic acid (IX), is converted to L-N-benzyloxycarbonyl-4-hydroxyallothreoninamide (VIII). This in turn is transformed to (3S,4S)-cis-3-amino-4-carbamoyloxymethyl-2-azetidinone-1-sulfonic acid (XVIII). Condensation of the azetidinone (XVIII) with the activated aminothiazole portion (XIX) followed by a necessary deprotection step affords the monocyclic beta-lactam. Dissolution of the beta-lactam in aqueous sodium acetate yields the disodium salt, carumonam. Other routes of synthesis have been discussed.

参考文献No.73816
标题:A novel synthesis of the monobactam antibiotic carumonam
作者:Manchand, P.S.; Luk, K.-C.; Belica, P.S.; Choudhry, S.C.; Wei, C.C.; Soukup, M.
来源:J Org Chem 1988,53(23),5507
合成路线图解说明:

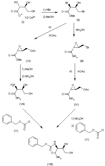
Two related syntheses of a known intermediate of carumonam are presented: 1) The reaction of calcium L-threonate (I) with HBr in acetic acid - acetic anhydride and then with refluxing methanol gives methyl (2S,3S)-2,4-dibromo-3-hydroxybutanoate (II), which by reaction with concentrated NH4OH is converted into (2S, 3R)-3-(bromomethyl)oxiranecarboxamide (III). The reaction of (III) with KI and potassium acetate in hot DMF affords (2R, 3S)-3-(acetoxymethyl)oxiranecarboxamide (IV), which is treated with concentrated NH4OH at 60 C and then with benzyl chloroformate (V) to give (2S, 3R)-2-(benzyloxycarbonylamino)-3,4-dihydroxybutanamide (VIII), an intermediate compound previously obtained in the synthesis described in Drugs Fut 1985, 10: 967. 2) The treatment of dibromide (II) with KI and potassium acetate in hot DMF gives methyl (2S,3S)-4-acetoxy-2,3-epoxybutanoate (VI), which is treated first with NaOH in methanol and then with hot NH4OH to yield (2S, 3R)-2-amino-3,4-dihydroxybutanamide (VII). Finally, this compound is treated with benzyl chloroformate (V) as before to give the intermediate (VIII) previously mentioned.

参考文献No.605742
标题:Chemical modification of sulfazecin: Synthesis of 4-(substituted methyl)-2-azetidinone-1-sulfonic acid derivatives
作者:Sendai, M.; Hachiguchi, S.; Tomimoto, M.; Kishimoto, S.; Matsuo, T.; Kondo, M.; Ochiai, M.
来源:J Antibiot 1985,38(3),346-371
合成路线图解说明:

L-threonic acid (XI), which is readily available from L-ascorbic acid (IX), is converted to L-N-benzyloxycarbonyl-4-hydroxyallothreoninamide (VIII). This in turn is transformed to (3S,4S)-cis-3-amino-4-carbamoyloxymethyl-2-azetidinone-1-sulfonic acid (XVIII). Condensation of the azetidinone (XVIII) with the activated aminothiazole portion (XIX) followed by a necessary deprotection step affords the monocyclic beta-lactam. Dissolution of the beta-lactam in aqueous sodium acetate yields the disodium salt, carumonam. Other routes of synthesis have been discussed.

参考文献No.605762
标题:Ro-172301 (AMA-1080), a new monocyclic beta-lactam antibiotic: Stereorational synthesis
作者:Weigele, M.; Wei, C.; Tengi, J.
来源:Intersci Conf Antimicrob Agents Chemother 1983,Abst 324
合成路线图解说明:

L-threonic acid (XI), which is readily available from L-ascorbic acid (IX), is converted to L-N-benzyloxycarbonyl-4-hydroxyallothreoninamide (VIII). This in turn is transformed to (3S,4S)-cis-3-amino-4-carbamoyloxymethyl-2-azetidinone-1-sulfonic acid (XVIII). Condensation of the azetidinone (XVIII) with the activated aminothiazole portion (XIX) followed by a necessary deprotection step affords the monocyclic beta-lactam. Dissolution of the beta-lactam in aqueous sodium acetate yields the disodium salt, carumonam. Other routes of synthesis have been discussed.

Drug Information Express,Drug R&D,Chemical Database,Patent Search.
Copyright © 2006-2026 Drug Future. All rights reserved.Contact Us