【药物名称】CV-3988
化学结构式(Chemical Structure):
参考文献No.39869
标题:Carbamic acid esters, their production and use
作者:Nomura, H.; Hozumi, M.; Yoshioka, Y. (Takeda Chemical Industries, Ltd.)
来源:EP 0035375
合成路线图解说明:

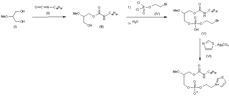
The condensation of 2-methoxypropane-1,3-diol (I) with octadecylisocyanate (II) in pyridine gives 3-(N-octadecylcarbamoyloxy)-2-methylpropanol (III), which is esterified with 2-bromoethyl phosphorodichloridate (IV) by means of pyridine in benzene and treated with water to afford 3-(N octadecyicarbamoyloxy)-2-methoxypropyl2-bromoethyl acid phosphate (V). Finally, this compound is treated with thiazole (VI) and Ag2CO3 in hot toluene.

参考文献No.49488
标题:CV-3988
作者:Casta馿r, J.; Prous, J.
来源:Drugs Fut 1987,12(1),12
合成路线图解说明:

The condensation of 2-methoxypropane-1,3-diol (I) with octadecylisocyanate (II) in pyridine gives 3-(N-octadecylcarbamoyloxy)-2-methylpropanol (III), which is esterified with 2-bromoethyl phosphorodichloridate (IV) by means of pyridine in benzene and treated with water to afford 3-(N octadecyicarbamoyloxy)-2-methoxypropyl2-bromoethyl acid phosphate (V). Finally, this compound is treated with thiazole (VI) and Ag2CO3 in hot toluene.

参考文献No.546563
标题:CV-3988 - A specific antagonist of platelet activa
作者:Terashita, Z.; Tsushima, S.; Yoshioka, Y.; Nomura, H.; Inada, Y.; Nishikawa, K.
来源:Life Sci 1983,321975
合成路线图解说明:

The condensation of 2-methoxypropane-1,3-diol (I) with octadecylisocyanate (II) in pyridine gives 3-(N-octadecylcarbamoyloxy)-2-methylpropanol (III), which is esterified with 2-bromoethyl phosphorodichloridate (IV) by means of pyridine in benzene and treated with water to afford 3-(N octadecyicarbamoyloxy)-2-methoxypropyl2-bromoethyl acid phosphate (V). Finally, this compound is treated with thiazole (VI) and Ag2CO3 in hot toluene.

Drug Information Express,Drug R&D,Chemical Database,Patent Search.
Copyright © 2006-2026 Drug Future. All rights reserved.Contact Us