【药物名称】CH-170, Chinoin-170
化学结构式(Chemical Structure):
参考文献No.42114
标题:Theophyllinyl-alkyl-oxadiazoles, process for the preparation thereof and pharmaceutical compositions containing same
作者:Korbonits, D.; et al. (Chinoin Pharmaceutical and Chemical Works Co., Ltd.)
来源:EP 0089028; JP 59010586; US 4565817
合成路线图解说明:

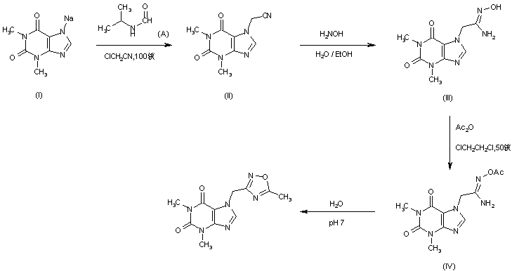
Theophylline as the sodjum salt (I) is reacted with chloroacetonitrile in dimethylformamide to give the nitrile (II). Treatment of (II) with hydroxylamine affords an amidoxime (III), which is acetylated to the O-acetyloxime (IV). The latter, when heated at 95 C in water buffered with triethylamine, cyclizes to Chinoin-170.

参考文献No.70131
标题:Chinoin-170
作者:N骻r醖i, M.
来源:Drugs Fut 1985,10(8),624
合成路线图解说明:

Theophylline as the sodjum salt (I) is reacted with chloroacetonitrile in dimethylformamide to give the nitrile (II). Treatment of (II) with hydroxylamine affords an amidoxime (III), which is acetylated to the O-acetyloxime (IV). The latter, when heated at 95 C in water buffered with triethylamine, cyclizes to Chinoin-170.

参考文献No.700063
标题:A simple synthesis of 1,2,4.oxadiazoles
作者:H閖a, G.; Korbonits, D.; Kanzel, I.; Szomor, M.
来源:5th Intl Conf Org Synth (Freiburg) 1984,Abst W11
合成路线图解说明:

Theophylline as the sodjum salt (I) is reacted with chloroacetonitrile in dimethylformamide to give the nitrile (II). Treatment of (II) with hydroxylamine affords an amidoxime (III), which is acetylated to the O-acetyloxime (IV). The latter, when heated at 95 C in water buffered with triethylamine, cyclizes to Chinoin-170.

Drug Information Express,Drug R&D,Chemical Database,Patent Search.
Copyright © 2006-2026 Drug Future. All rights reserved.Contact Us