【药物名称】Ditercalinium chloride dihydrochloride, NSC-366241(tetramethanesulfonate), RB-1607, NSC-335153
化学结构式(Chemical Structure):
参考文献No.62698
标题:Ditercalinium Chloride
作者:Serradell, M.N.; Casta馿r, J.
来源:Drugs Fut 1985,10(2),116
合成路线图解说明:

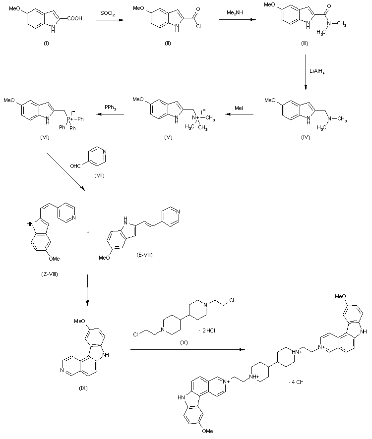
The reaction of 5-methoxyindole-2-carboxylic acid (I) with thionyl chloride gives the acid chloride (II), which is condensed with dimethylamine to afford the amide (III). Reduction of (III) by LiAlH4 leads to the dimethylamino derivative (IV), which is quaternized by methyl iodide to give (V). The ammonium salt (V) is transformed into the corresponding phosphonium iodide (VI) by means of triphenyl phosphine. The successive steps from (I) to the phosphonium iodide (VI) give an overall yield of 50-60%. The condensation of (VI) with 4-formyl pyridine (VII) gives a mixture of 70% cis-(Z-VIII) and 30% trans-(E-VIII) isomers. The mixture of indolyl-pyridylethylenes (Z-VIII) and (E-VIII) is cyclized to 10-methoxy-7H-pyrido[4,3-c]carbazole (IX) by irradiation for 90 h in a Rayonet photoreactor at 350 nm in the presence of iodine (40% yield). Dimerization of (IX) is achieved by strirring in DMF two equivalents of (IX) with one equivalent of 1,1'-bis(2-chloroethyl)-4,4'-bipiperidine dihydrochloride (X) at 85 C for 18 h and recrystallization in EtOH/H20 (40/60).

参考文献No.607194
标题:DNA intercalating comnpounds as potential antitumor agents. 1. Preparation and properties of 7H-pyridocarbazoles
作者:Pelaprat, D.; Oberlin, R.; Le Guen, I.; Roques, B.P.; Le Pecq, J.B.
来源:J Med Chem 1980,23(12),1330-1335
合成路线图解说明:

The reaction of 5-methoxyindole-2-carboxylic acid (I) with thionyl chloride gives the acid chloride (II), which is condensed with dimethylamine to afford the amide (III). Reduction of (III) by LiAlH4 leads to the dimethylamino derivative (IV), which is quaternized by methyl iodide to give (V). The ammonium salt (V) is transformed into the corresponding phosphonium iodide (VI) by means of triphenyl phosphine. The successive steps from (I) to the phosphonium iodide (VI) give an overall yield of 50-60%. The condensation of (VI) with 4-formyl pyridine (VII) gives a mixture of 70% cis-(Z-VIII) and 30% trans-(E-VIII) isomers. The mixture of indolyl-pyridylethylenes (Z-VIII) and (E-VIII) is cyclized to 10-methoxy-7H-pyrido[4,3-c]carbazole (IX) by irradiation for 90 h in a Rayonet photoreactor at 350 nm in the presence of iodine (40% yield). Dimerization of (IX) is achieved by strirring in DMF two equivalents of (IX) with one equivalent of 1,1'-bis(2-chloroethyl)-4,4'-bipiperidine dihydrochloride (X) at 85 C for 18 h and recrystallization in EtOH/H20 (40/60).

参考文献No.607195
标题:DNA intercalating comnpounds as potential antitumor agents. 2. Preparation and properties of 7H-pyridocarbazole dimers
作者:Pelaprat, D.; Delbarre, A.; Le Guen, I.; Roques, B.P.; Le Pecq, J.B.
来源:J Med Chem 1980,23(12),1336-1343
合成路线图解说明:

The reaction of 5-methoxyindole-2-carboxylic acid (I) with thionyl chloride gives the acid chloride (II), which is condensed with dimethylamine to afford the amide (III). Reduction of (III) by LiAlH4 leads to the dimethylamino derivative (IV), which is quaternized by methyl iodide to give (V). The ammonium salt (V) is transformed into the corresponding phosphonium iodide (VI) by means of triphenyl phosphine. The successive steps from (I) to the phosphonium iodide (VI) give an overall yield of 50-60%. The condensation of (VI) with 4-formyl pyridine (VII) gives a mixture of 70% cis-(Z-VIII) and 30% trans-(E-VIII) isomers. The mixture of indolyl-pyridylethylenes (Z-VIII) and (E-VIII) is cyclized to 10-methoxy-7H-pyrido[4,3-c]carbazole (IX) by irradiation for 90 h in a Rayonet photoreactor at 350 nm in the presence of iodine (40% yield). Dimerization of (IX) is achieved by strirring in DMF two equivalents of (IX) with one equivalent of 1,1'-bis(2-chloroethyl)-4,4'-bipiperidine dihydrochloride (X) at 85 C for 18 h and recrystallization in EtOH/H20 (40/60).

参考文献No.700522
标题:
作者:Bible, R.; Yuan, J.J.; Yang, D.-C.; Zhang, J.Y.; Findlay, J.W.; Karim, A.
来源:Compt Rend Acad Sci 1976,283(9),1109-1112
合成路线图解说明:

The reaction of 5-methoxyindole-2-carboxylic acid (I) with thionyl chloride gives the acid chloride (II), which is condensed with dimethylamine to afford the amide (III). Reduction of (III) by LiAlH4 leads to the dimethylamino derivative (IV), which is quaternized by methyl iodide to give (V). The ammonium salt (V) is transformed into the corresponding phosphonium iodide (VI) by means of triphenyl phosphine. The successive steps from (I) to the phosphonium iodide (VI) give an overall yield of 50-60%. The condensation of (VI) with 4-formyl pyridine (VII) gives a mixture of 70% cis-(Z-VIII) and 30% trans-(E-VIII) isomers. The mixture of indolyl-pyridylethylenes (Z-VIII) and (E-VIII) is cyclized to 10-methoxy-7H-pyrido[4,3-c]carbazole (IX) by irradiation for 90 h in a Rayonet photoreactor at 350 nm in the presence of iodine (40% yield). Dimerization of (IX) is achieved by strirring in DMF two equivalents of (IX) with one equivalent of 1,1'-bis(2-chloroethyl)-4,4'-bipiperidine dihydrochloride (X) at 85 C for 18 h and recrystallization in EtOH/H20 (40/60).

Drug Information Express,Drug R&D,Chemical Database,Patent Search.
Copyright © 2006-2026 Drug Future. All rights reserved.Contact Us