【药物名称】GYKI-14166, RGH-2958
化学结构式(Chemical Structure):
参考文献No.61891
标题:RGH-2958
作者:Rabloczky, Gy.; Bagdy, D.; Bajusz, S.
来源:Drugs Fut 1985,10(10),829
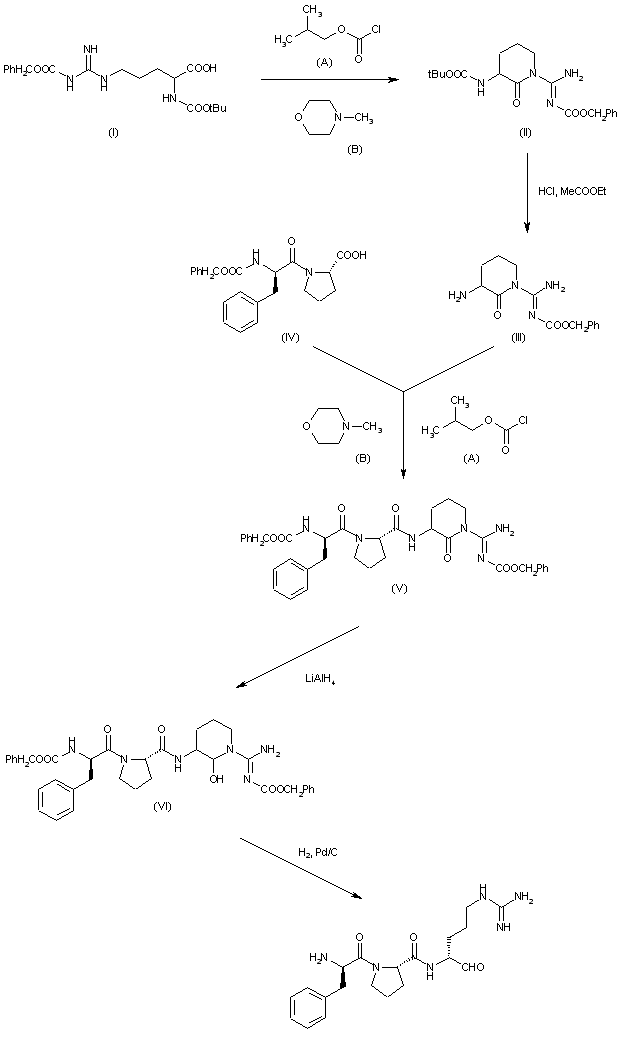
合成路线图解说明:

N2-tert-Butyloxycarbonyl-N5-benzyloxycarbonyl-L-arginine (I) is cyclized by treatment with isobutyloxycarbonyl chloride and N-methylmorpholine to the lactam (II). The tert-butyloxycarbonyl group is removed by hydrochloric acid to give the aminolactam (III), which is coupled with N-benzyloxycarbonyl-D-phenylalanyl-L-proline (IV) using, as in the first step, the mixed anhydride method. The resulting tripeptide lactam (V) is reduced with LiAlH4 to an aldehyde, present as the cyclic alpha-aminoalcohol (VI). Deblocking by hydrogenolysis gives RGH-2958. In solution the aldehyde group is either in the cyclic alpha-aminoalcohol form or is hydrated.

Drug Information Express,Drug R&D,Chemical Database,Patent Search.
Copyright © 2006-2026 Drug Future. All rights reserved.Contact Us