【药物名称】Vesnarinone, OPC-8212, Arkin, Arkin-Z
化学结构式(Chemical Structure):
参考文献No.62055
标题:OPC-8212
作者:Mannhold, R.
来源:Drugs Fut 1985,10(1),28
合成路线图解说明:

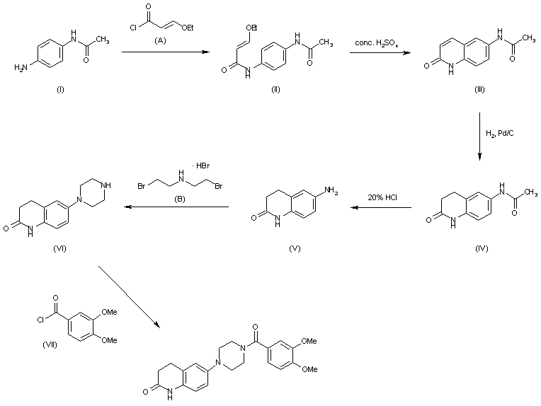
OPC-8212 is obtained through the piperazine ring formation method from bis(beta-bromoethyl)amine hydrobromide and 6-amino-3,4-dihydro-2(1H)-quinolinone (V) to give (VI). (V) is synthesized using the ring closure reaction of p-acetylamino-beta-ethoxyacryloanilide (II). p-Acetylaminoaniline (I) is converted to (II) by treatment with beta-ethoxyacryloyl chloride and afterwards cyclized in the presence of sulfuric acid to give 6-acetylamino-2-(1H)-quinolinone (III). Hydrogenation of (III) over 10% palladium on charcoal gives 6-acetylamino-3,4-dihydro-2(1H)-quinolinone (IV). Hydrolysis of (IV) gives 6-amino-3,4-dihydro-2(1H)-quinolinone (V). OPC-8212 is obtained by adding 3,4-dimethoxybenzyl chloride (VII) to (VI).

参考文献No.604474
标题:Physicochemical properties and stabilities of a new positive inotropic agent, OPC 8212
作者:Nakagawa, K.; Osumi, T.; Shimizu, T.; Niimi, K.
来源:Arzneim-Forsch Drug Res 1984,34(3A),334-341
合成路线图解说明:

OPC-8212 is obtained through the piperazine ring formation method from bis(beta-bromoethyl)amine hydrobromide and 6-amino-3,4-dihydro-2(1H)-quinolinone (V) to give (VI). (V) is synthesized using the ring closure reaction of p-acetylamino-beta-ethoxyacryloanilide (II). p-Acetylaminoaniline (I) is converted to (II) by treatment with beta-ethoxyacryloyl chloride and afterwards cyclized in the presence of sulfuric acid to give 6-acetylamino-2-(1H)-quinolinone (III). Hydrogenation of (III) over 10% palladium on charcoal gives 6-acetylamino-3,4-dihydro-2(1H)-quinolinone (IV). Hydrolysis of (IV) gives 6-amino-3,4-dihydro-2(1H)-quinolinone (V). OPC-8212 is obtained by adding 3,4-dimethoxybenzyl chloride (VII) to (VI).

参考文献No.604932
标题:Studies on positive inotropic agents. I. Synthesis of 3,4-dihydro-6-[4-(3,4-dimethoxybenzoyl)-1-piperazinyl]-2(1H)-quinolinone and related compounds
作者:Tominaga, M.; Yo, E.; Ogawa, H.; Yamashita, S.; Yabuuchi, Y.; Nakagawa, K.
来源:Chem Pharm Bull 1984,32(6),2100
合成路线图解说明:

OPC-8212 is obtained through the piperazine ring formation method from bis(beta-bromoethyl)amine hydrobromide and 6-amino-3,4-dihydro-2(1H)-quinolinone (V) to give (VI). (V) is synthesized using the ring closure reaction of p-acetylamino-beta-ethoxyacryloanilide (II). p-Acetylaminoaniline (I) is converted to (II) by treatment with beta-ethoxyacryloyl chloride and afterwards cyclized in the presence of sulfuric acid to give 6-acetylamino-2-(1H)-quinolinone (III). Hydrogenation of (III) over 10% palladium on charcoal gives 6-acetylamino-3,4-dihydro-2(1H)-quinolinone (IV). Hydrolysis of (IV) gives 6-amino-3,4-dihydro-2(1H)-quinolinone (V). OPC-8212 is obtained by adding 3,4-dimethoxybenzyl chloride (VII) to (VI).

Drug Information Express,Drug R&D,Chemical Database,Patent Search.
Copyright © 2006-2026 Drug Future. All rights reserved.Contact Us