【药物名称】Tiacrilast, Ro-22-3747/007(Na salt), Ro-22-3747/000, Ro-22-3747
化学结构式(Chemical Structure):
参考文献No.45860
标题:Trans-3-(4-oxo-4H-quinazolin-3-yl)-2-propenoic acid derivatives
作者:Lemahieu, R.A.; Nason, W.C. (Hoffmann-La Roche, Inc.)
来源:EP 0023594; JP 8125167; US 4281127
合成路线图解说明:

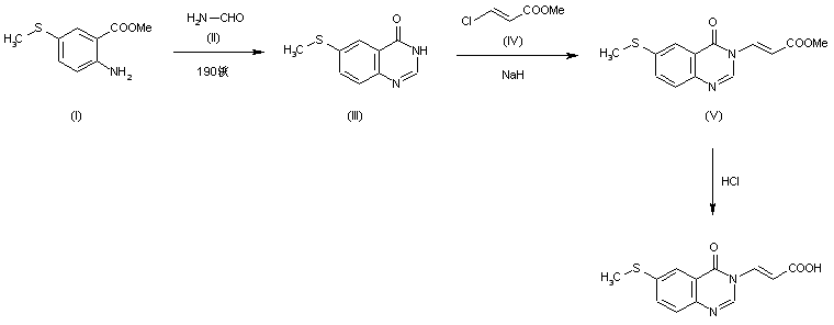
The cyclization of methyl-5-(methylthio)anthranilate (I) with formamide (II) by heating at 190 C gives 6-(methylthio)-4(3H)-quinazolinone (III), which is condensed with methyl 3-chloroacrylate (IV) by means of NaH yielding methyl 3-[6-(methylthio)-4-oxo-4H-quinazolin-3-yl]-2-propenoate (V). Finally, this compound is hydrolyzed with refluxing 6N HCl. The same procedure of synthesis can also be performed from 5-(methylthio)anthranilic acid instead of methyl 5-(methylthio)anthranilate (I).

参考文献No.62671
标题:Tiacrilast
作者:Serradell, M.N.; Casta馿r, J.; Chu, S.S.
来源:Drugs Fut 1985,10(2),131
合成路线图解说明:

The cyclization of methyl-5-(methylthio)anthranilate (I) with formamide (II) by heating at 190 C gives 6-(methylthio)-4(3H)-quinazolinone (III), which is condensed with methyl 3-chloroacrylate (IV) by means of NaH yielding methyl 3-[6-(methylthio)-4-oxo-4H-quinazolin-3-yl]-2-propenoate (V). Finally, this compound is hydrolyzed with refluxing 6N HCl. The same procedure of synthesis can also be performed from 5-(methylthio)anthranilic acid instead of methyl 5-(methylthio)anthranilate (I).

参考文献No.607669
标题:(E)-3-(4-Oxo-4H-quinazolin-3-yl=-2-propenoic acids, a new series of antiallergy agents
作者:LeMahieu, R.A.; Carson, M.; Nason, W.C.; Parrish, D.R.; Welton, A.F.; Baruth, H.W.; Yaremko, B.
来源:J Med Chem 1983,26(3),420-423
合成路线图解说明:

The cyclization of methyl-5-(methylthio)anthranilate (I) with formamide (II) by heating at 190 C gives 6-(methylthio)-4(3H)-quinazolinone (III), which is condensed with methyl 3-chloroacrylate (IV) by means of NaH yielding methyl 3-[6-(methylthio)-4-oxo-4H-quinazolin-3-yl]-2-propenoate (V). Finally, this compound is hydrolyzed with refluxing 6N HCl. The same procedure of synthesis can also be performed from 5-(methylthio)anthranilic acid instead of methyl 5-(methylthio)anthranilate (I).

Drug Information Express,Drug R&D,Chemical Database,Patent Search.
Copyright © 2006-2026 Drug Future. All rights reserved.Contact Us