【药物名称】Ifoxetine sulfate(Rec INNM), CGP-15210G
化学结构式(Chemical Structure):
参考文献No.39868
标题:Derivs. of perhydro-aza-heterocycles
作者:Paioni, R. (Novartis AG)
来源:DE 2738477; US 4160837
合成路线图解说明:

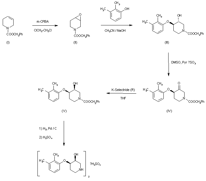
Reaction of the N-carbobenzyloxy-protected tetrahydropyridine derivative (I) with m-chloroperbenzoic acid (MCPBA) in ethylene chloride gives the stable oily epoxide (II), which, upon treatment with 2,3-dimethyphenol in acetonitrile in the presence of aqueous NaOH, affords the crystalline trans-3 hydroxy-4-phenoxy derivative (III). Oxidation of this aicohol to the corresponding ketone (IV) is best achieved by means of DMSO reagents, in particular DMSO and pyridine-SO3 adduct. Treatment of the ketone (IV) with potassium tri-sec-butylborohydride (K-Selectride(R)) in THF yields the cis-3-hydroxy-4-phenoxy derivative (V) in a highly stereoselective reaction. Hydrogenation of (V) with H2 over Pd/C in ethanol and subsequent salt formation with aqueous H2SO4 leads to racemic, diastereomerically pure CGP-l5210 G.

参考文献No.62636
标题:Ifoxetine sulfate
作者:Waldmeier, P.C.; Paioni, R.; Delini-Stula, A.
来源:Drugs Fut 1987,12(2),126
合成路线图解说明:

Reaction of the N-carbobenzyloxy-protected tetrahydropyridine derivative (I) with m-chloroperbenzoic acid (MCPBA) in ethylene chloride gives the stable oily epoxide (II), which, upon treatment with 2,3-dimethyphenol in acetonitrile in the presence of aqueous NaOH, affords the crystalline trans-3 hydroxy-4-phenoxy derivative (III). Oxidation of this aicohol to the corresponding ketone (IV) is best achieved by means of DMSO reagents, in particular DMSO and pyridine-SO3 adduct. Treatment of the ketone (IV) with potassium tri-sec-butylborohydride (K-Selectride(R)) in THF yields the cis-3-hydroxy-4-phenoxy derivative (V) in a highly stereoselective reaction. Hydrogenation of (V) with H2 over Pd/C in ethanol and subsequent salt formation with aqueous H2SO4 leads to racemic, diastereomerically pure CGP-l5210 G.

参考文献No.608689
标题:CGP 15 210 G, an unusual inhibitor of serotonin (5-HT) uptake
作者:Paioni, R.; et al.
来源:VIIIth Intl Symp Med Chem (Aug 27-31, Uppsala) 1985,2130
合成路线图解说明:

Reaction of the N-carbobenzyloxy-protected tetrahydropyridine derivative (I) with m-chloroperbenzoic acid (MCPBA) in ethylene chloride gives the stable oily epoxide (II), which, upon treatment with 2,3-dimethyphenol in acetonitrile in the presence of aqueous NaOH, affords the crystalline trans-3 hydroxy-4-phenoxy derivative (III). Oxidation of this aicohol to the corresponding ketone (IV) is best achieved by means of DMSO reagents, in particular DMSO and pyridine-SO3 adduct. Treatment of the ketone (IV) with potassium tri-sec-butylborohydride (K-Selectride(R)) in THF yields the cis-3-hydroxy-4-phenoxy derivative (V) in a highly stereoselective reaction. Hydrogenation of (V) with H2 over Pd/C in ethanol and subsequent salt formation with aqueous H2SO4 leads to racemic, diastereomerically pure CGP-l5210 G.

Drug Information Express,Drug R&D,Chemical Database,Patent Search.
Copyright © 2006-2026 Drug Future. All rights reserved.Contact Us