【药物名称】Zatebradine hydrochloride, UL-FS-49
化学结构式(Chemical Structure):
参考文献No.42021
标题:Benzazepines, process for their preparation and their application as pharmaceutical preparations
作者:Reiffen, M.; et al. (Dr. Karl Thomae GmbH)
来源:DE 3119874; EP 0065229; GB 2099425; JP 57193462
合成路线图解说明:

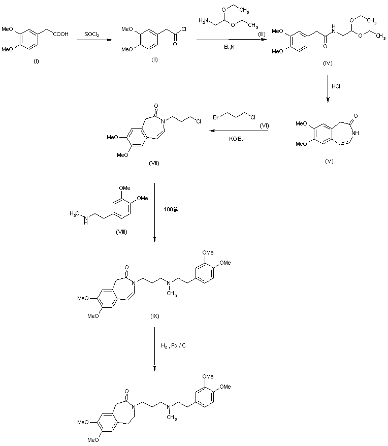
The reaction of 3,4-dimethoxyphenylacetic acid (I) with SOCl2 in methylene chloride gives the corresponding acyl chloride (II), which is treated with aminoacetaldehyde dimethylacetal (III) and triethylamine in methylene chloride yielding N-(2,2-diethoxyethyl)-3,4-dimethoxyphenylacetamide (IV). The cyclization of (IV) by means of HCl in acetic acid atfords 7,8-dimethoxy-1,3-dihydro-2H-3-benzazepin-2-one (V), which is alkylated with 1-bromo-3-chloro propane (VI) by means of potassium tert-butoxide in DMSO to give 3-(3-chloropropyl)-7,8-dimethoxy-1,3-dihydro-2H-3-benzazepin-2-one (VII). The reaction of (VII) with N-methyl-2-(3,4-dimethoxyphenyl)ethylamine (VIII) at 100 C affords 7,8-dimethoxy-3-[3-[N-methyl-N-[2-(3,4-dimethoxyphenyl)ethyl]amino]propyl]-1,3-dihydro-2H-3-benzazepin-2-one (IX), which is finally hydrogenated with H2 over Pd/C in acetic acid.

参考文献No.45887
标题:Process for the prepaation of benzazepine derivatives
作者:Reiffen, M. (Dr. Karl Thomae GmbH)
来源:CA 1207764; DD 215541; DE 3242345
合成路线图解说明:

The reaction of 3,4-dimethoxyphenylacetic acid (I) with SOCl2 in methylene chloride gives the corresponding acyl chloride (II), which is treated with aminoacetaldehyde dimethylacetal (III) and triethylamine in methylene chloride yielding N-(2,2-diethoxyethyl)-3,4-dimethoxyphenylacetamide (IV). The cyclization of (IV) by means of HCl in acetic acid atfords 7,8-dimethoxy-1,3-dihydro-2H-3-benzazepin-2-one (V), which is alkylated with 1-bromo-3-chloro propane (VI) by means of potassium tert-butoxide in DMSO to give 3-(3-chloropropyl)-7,8-dimethoxy-1,3-dihydro-2H-3-benzazepin-2-one (VII). The reaction of (VII) with N-methyl-2-(3,4-dimethoxyphenyl)ethylamine (VIII) at 100 C affords 7,8-dimethoxy-3-[3-[N-methyl-N-[2-(3,4-dimethoxyphenyl)ethyl]amino]propyl]-1,3-dihydro-2H-3-benzazepin-2-one (IX), which is finally hydrogenated with H2 over Pd/C in acetic acid.

参考文献No.70139
标题:Ul-FS-49
作者:Prous, J.; Casta馿r, J.
来源:Drugs Fut 1985,10(8),639
合成路线图解说明:

The reaction of 3,4-dimethoxyphenylacetic acid (I) with SOCl2 in methylene chloride gives the corresponding acyl chloride (II), which is treated with aminoacetaldehyde dimethylacetal (III) and triethylamine in methylene chloride yielding N-(2,2-diethoxyethyl)-3,4-dimethoxyphenylacetamide (IV). The cyclization of (IV) by means of HCl in acetic acid atfords 7,8-dimethoxy-1,3-dihydro-2H-3-benzazepin-2-one (V), which is alkylated with 1-bromo-3-chloro propane (VI) by means of potassium tert-butoxide in DMSO to give 3-(3-chloropropyl)-7,8-dimethoxy-1,3-dihydro-2H-3-benzazepin-2-one (VII). The reaction of (VII) with N-methyl-2-(3,4-dimethoxyphenyl)ethylamine (VIII) at 100 C affords 7,8-dimethoxy-3-[3-[N-methyl-N-[2-(3,4-dimethoxyphenyl)ethyl]amino]propyl]-1,3-dihydro-2H-3-benzazepin-2-one (IX), which is finally hydrogenated with H2 over Pd/C in acetic acid.

Drug Information Express,Drug R&D,Chemical Database,Patent Search.
Copyright © 2006-2026 Drug Future. All rights reserved.Contact Us