【药物名称】Tomoxiprole, MDL-035
化学结构式(Chemical Structure):
参考文献No.45866
标题:Antimicrobial 3H-naphto[1,2-d]imidazoles
作者:Toja, E.; Omodei-Sale, A.; Selva, D. (Lepetit SpA)
来源:EP 0012866; JP 8092376; US 4340607; US 4435417
合成路线图解说明:

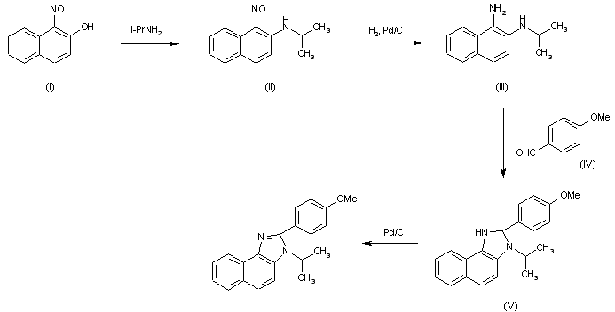
Reaction of 1-nitroso-2-naphthol (I) with isopropylamine in water gives 2-isopropylamino-1-nitrosonaphthalene (II). After hydrogenation, condensation of the resulting 2-isopropylamino-1,2-naphthalendiamine (III) with p-methoxybenzaldehyde yields the 1,2-dihydro derivative (IV), which is converted to MDL-035 with palladium on carbon. Toluene is used as a solvent throughout the synthesis. The overall yield on a 20-kg scale is 57%.

参考文献No.62743
标题:Tomoxiprole
作者:Casta馿r, J.; Chu, S.S.; Serradell, M.N.
来源:Drugs Fut 1985,10(2),133
合成路线图解说明:

Reaction of 1-nitroso-2-naphthol (I) with isopropylamine in water gives 2-isopropylamino-1-nitrosonaphthalene (II). After hydrogenation, condensation of the resulting 2-isopropylamino-1,2-naphthalendiamine (III) with p-methoxybenzaldehyde yields the 1,2-dihydro derivative (IV), which is converted to MDL-035 with palladium on carbon. Toluene is used as a solvent throughout the synthesis. The overall yield on a 20-kg scale is 57%.

参考文献No.607700
标题:3-Alkyl-2-ary?3H-naphth[1,2-d]imidazoles, a novel class of nonacidic antiinflammatory agents
作者:Toja, E.; Selva, D.; Schiatti, P.
来源:J Med Chem 1984,27(5),610-616
合成路线图解说明:

Reaction of 1-nitroso-2-naphthol (I) with isopropylamine in water gives 2-isopropylamino-1-nitrosonaphthalene (II). After hydrogenation, condensation of the resulting 2-isopropylamino-1,2-naphthalendiamine (III) with p-methoxybenzaldehyde yields the 1,2-dihydro derivative (IV), which is converted to MDL-035 with palladium on carbon. Toluene is used as a solvent throughout the synthesis. The overall yield on a 20-kg scale is 57%.

Drug Information Express,Drug R&D,Chemical Database,Patent Search.
Copyright © 2006-2026 Drug Future. All rights reserved.Contact Us