【药物名称】Amiprilose, SM-1213, Therafectin
化学结构式(Chemical Structure):
参考文献No.46012
标题:Method of enhancing learning and/or memory in warm blooded animals
作者:Gordon, P. (Boston Life Sciences, Inc.)
来源:US 3965262
合成路线图解说明:

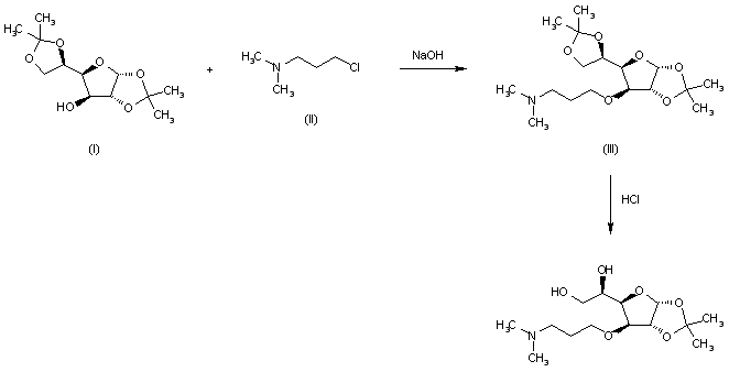
The reaction of 1,2:5.6-di-O-isopropyliden-D-glucofuranose (I) with 3-chloro-N,N-dimethylaminopropane (II) by means of NaOH in refluxing dioxane gives 1,2:5,6-di-O-isopropylidene-3-O-[3'-(N,N-dimethylamino)propyl]-D-gluco-furanose (III), which is partially hydrolyzed with HCl in water.

参考文献No.65217
标题:Therafectin
作者:Hopkins, S.J.; Serradell, M.N.; Casta馿r, J.
来源:Drugs Fut 1985,10(4),301
合成路线图解说明:

The reaction of 1,2:5.6-di-O-isopropyliden-D-glucofuranose (I) with 3-chloro-N,N-dimethylaminopropane (II) by means of NaOH in refluxing dioxane gives 1,2:5,6-di-O-isopropylidene-3-O-[3'-(N,N-dimethylamino)propyl]-D-gluco-furanose (III), which is partially hydrolyzed with HCl in water.

Drug Information Express,Drug R&D,Chemical Database,Patent Search.
Copyright © 2006-2026 Drug Future. All rights reserved.Contact Us