【药物名称】Rotraxate hydrochloride, TEI-5103, Cumelon
化学结构式(Chemical Structure):
参考文献No.46029
标题:Aminocarboxylic acids, amino alcohols or the derivatives thereof, processes for production thereof and pharmaceutical uses thereof
作者:Takeshita, T.; Hoshina, K.; Ohtsu, A.; Naruchi, T. (Teijin Ltd.)
来源:CA 1176267; EP 0044541; US 4402975
合成路线图解说明:

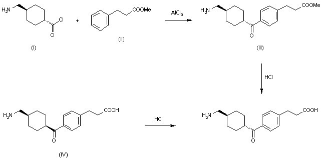
This compound can be obtained by two different ways: 1) The Friedel Crafts' condensation of trans-4-aminomethylcyclohexylcarbonyl chloride (I) with methyl 3-phenylpropionate (II) by means of AlCl3 in refluxing S2C gives methyl 3-[4-trans-4-aminomethylcyclohexylcarbonyl)phenyl]propionate (III), which is then hydrolyzed with hot aqueous concentrated HCl. 2) By isomerization of 3-[4-(cis-4-aminomethylcyclohexylcarbonyl)phenyl]propionic acid (IV) in hot aqueous 3N HCl.

参考文献No.67130
标题:TEI-5103
作者:Casta馿r, J.; Serradell, M.N.
来源:Drugs Fut 1985,10(6),485
合成路线图解说明:

This compound can be obtained by two different ways: 1) The Friedel Crafts' condensation of trans-4-aminomethylcyclohexylcarbonyl chloride (I) with methyl 3-phenylpropionate (II) by means of AlCl3 in refluxing S2C gives methyl 3-[4-trans-4-aminomethylcyclohexylcarbonyl)phenyl]propionate (III), which is then hydrolyzed with hot aqueous concentrated HCl. 2) By isomerization of 3-[4-(cis-4-aminomethylcyclohexylcarbonyl)phenyl]propionic acid (IV) in hot aqueous 3N HCl.

参考文献No.700627
标题:
作者:Verloes, R.; Delire, M.; Brichard, V.; Portielje, J.P.; Stoter, G.; Kruit, W.H.J.; van Ojik, H.H.
来源:Drugs Today 1980,16(9),290
合成路线图解说明:

This compound can be obtained by two different ways: 1) The Friedel Crafts' condensation of trans-4-aminomethylcyclohexylcarbonyl chloride (I) with methyl 3-phenylpropionate (II) by means of AlCl3 in refluxing S2C gives methyl 3-[4-trans-4-aminomethylcyclohexylcarbonyl)phenyl]propionate (III), which is then hydrolyzed with hot aqueous concentrated HCl. 2) By isomerization of 3-[4-(cis-4-aminomethylcyclohexylcarbonyl)phenyl]propionic acid (IV) in hot aqueous 3N HCl.

Drug Information Express,Drug R&D,Chemical Database,Patent Search.
Copyright © 2006-2026 Drug Future. All rights reserved.Contact Us