【药物名称】SLNU, SLCNU
化学结构式(Chemical Structure):
参考文献No.63709
标题:Methods for lowering serum cholesterol
作者:Bryant, H.U.; Grese, T.A. (Eli Lilly and Company)
来源:EP 0657162; US 5482950
合成路线图解说明:

The condensation of 1-oxyl-2,2,6,6-tetramethyl-4-aminopiperidine (I) with 2-chloroethyl isocyanate (II) gives 1-(2-chloroethyl)-3-(1-oxyl-2,2,6,6-tetramethylpiperidinyl)urea (III). The nitrosation of (III) with dinitrogen tetraoxide in methylene chloride yields SLCNU.

合成路线图解说明:

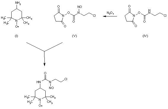
The nitrosation of (IV) with dinitrogen tetraoxide in methylene chloride affords (V), which is condensed with (I) to yield SLCNU.

合成路线图解说明:

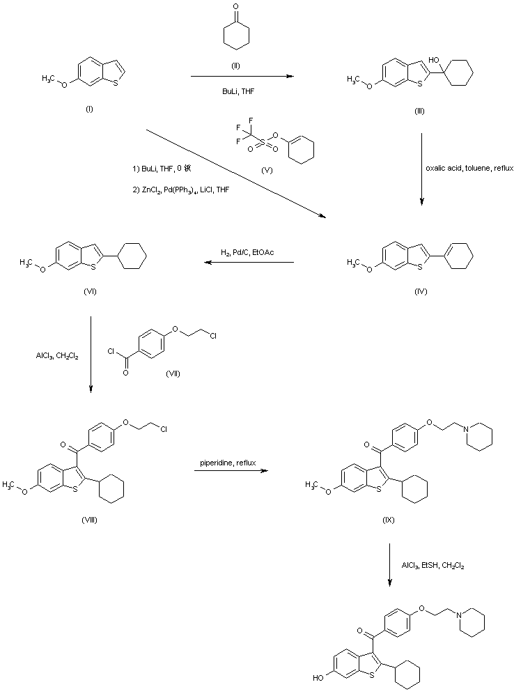
Lithiation of 6-methoxybenzothiophene (I), followed by condensation with cyclohexanone (II) provides the hydroxycyclohexyl benzothiophene (III), which is further dehydrated to the cyclohexenyl analogue (IV) under acidic conditions (1). In a related procedure, the cyclohexenyl benzothiophene (IV) is prepared by condensation of the lithiated derivative of (I) with cyclohexenyl triflate (V) in the presence of ZnCl2 and Pd(PPh3)4 (2). Catalytic hydrogenation of olefin (IV) over Pd/C leads to the cyclohexyl benzothiophene (VI) (1,2). Subsequent Friedel-Crafts acylation of (VI) with 4-(2-chloroethoxy)benzoyl chloride (VII) yields ketone (VIII) (1). Displacement of the chloride group in (VIII) with piperidine furnishes the piperidinyl ethoxy derivative (IX). The methyl ether (IX) is finally cleaved by treatment with AlCl3 and EtSH to produce the target phenol derivative (1,3-5).

参考文献No.607569
标题:Activated N-nitrosocarbamates for regioselective synthesis of N-nitrosoureas
作者:Martinez, J.; Oiry, J.; Imbach, J.L.; Winternitz, F.
来源:J Med Chem 1982,25(12),178-182
合成路线图解说明:

The nitrosation of (IV) with dinitrogen tetraoxide in methylene chloride affords (V), which is condensed with (I) to yield SLCNU.

参考文献No.800008
标题:A new class of nitrosoureas. VII. Synthesis and antitumor activity of 3-substituted 1-(2-chloroethyl)-3-(methyl-alpha-D-glucopyranosid-3-yl)-1-nitrosoureas
作者:Arai, Y.; Takeda, M.; Tsujihara, K.; Morikawa, T.
来源:Chem Pharm Bull 1982,304365
合成路线图解说明:

The condensation of 1-oxyl-2,2,6,6-tetramethyl-4-aminopiperidine (I) with 2-chloroethyl isocyanate (II) gives 1-(2-chloroethyl)-3-(1-oxyl-2,2,6,6-tetramethylpiperidinyl)urea (III). The nitrosation of (III) with dinitrogen tetraoxide in methylene chloride yields SLCNU.

Drug Information Express,Drug R&D,Chemical Database,Patent Search.
Copyright © 2006-2026 Drug Future. All rights reserved.Contact Us