【药物名称】Zoliprofen, 156-S, 480156-S
化学结构式(Chemical Structure):
参考文献No.45872
标题:Improved process for the production of 2-(4-(2-thiazolyloxy)phenyl)propionic acid
作者:Hamada, Y.; Ando, S. (Shionogi & Co. Ltd.)
来源:CA 1188699; EP 0088008; JP 58148870
合成路线图解说明:

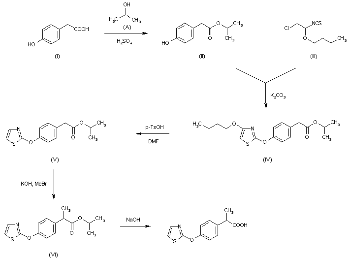
The esterification of 4-hydroxyphenylacetic acid (I) with isopropanol and H2SO4 gives the corresponding isopropyl ester (II), which is then cyclocondensed with 1-isobutoxy-2-chloroethyl isothiocyanate (III) by means of K2CO3 in acetone yielding isopropyl 2-[4-(4-isobutoxy-2-thiazolin-2-yloxy) phenyl]acetate (IV). Elimination of isobutanol from (IV) by means of p-toluenesulfonic acid in hot DMF affords isopropyl 2-[4-(2-thiazolyloxy)phenyl] acetate (V), which is methylated with methyl bromide and KOH in DMF giving isopropyl 2-[4-(2-thiazo)yloxy)phenyl]propionate (VI). Finally, this compound is hydrolyzed with NaOH in aqueous methanol.

参考文献No.46621
标题:Thiazole derivatives and the production thereof
作者:Maeda, R.; Hirose, K. (Shionogi & Co. Ltd.)
来源:CA 1051906; FR 2248835; GB 1481465
合成路线图解说明:

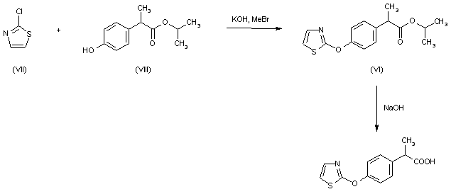
The condensation of 2-chlorothiazole (VII) with isopropyl 2-(4-hydroxyphenyl)propionate (VIII) by means of K2CO3 in DMF at 150 C gives (VI), previously obtained.

参考文献No.66939
标题:480156-S
作者:Casta馿r, J.; Serradell, M.N.; Arrigoni-Martelli, E.
来源:Drugs Fut 1985,10(1),37
合成路线图解说明:

The esterification of 4-hydroxyphenylacetic acid (I) with isopropanol and H2SO4 gives the corresponding isopropyl ester (II), which is then cyclocondensed with 1-isobutoxy-2-chloroethyl isothiocyanate (III) by means of K2CO3 in acetone yielding isopropyl 2-[4-(4-isobutoxy-2-thiazolin-2-yloxy) phenyl]acetate (IV). Elimination of isobutanol from (IV) by means of p-toluenesulfonic acid in hot DMF affords isopropyl 2-[4-(2-thiazolyloxy)phenyl] acetate (V), which is methylated with methyl bromide and KOH in DMF giving isopropyl 2-[4-(2-thiazo)yloxy)phenyl]propionate (VI). Finally, this compound is hydrolyzed with NaOH in aqueous methanol.

合成路线图解说明:

The condensation of 2-chlorothiazole (VII) with isopropyl 2-(4-hydroxyphenyl)propionate (VIII) by means of K2CO3 in DMF at 150 C gives (VI), previously obtained.

Drug Information Express,Drug R&D,Chemical Database,Patent Search.
Copyright © 2006-2026 Drug Future. All rights reserved.Contact Us