【药物名称】Tiazofurin, Tiazofurine, Cpd-5825, ICN-4221, CI-909, TCAR, NSC-286193, Tiazole
化学结构式(Chemical Structure):
参考文献No.60592
标题:Tiazofurine
作者:Eastland, G.
来源:Drugs Fut 1985,10(4),304
合成路线图解说明:

A new synthesis of thiazofurin has been described: The reaction of 1-O-acetyl-2,3,5-tri-O-benzoyl-beta-D-ribofuranose (I) with trimethylsilyl cyanide and SnCl4 in dichloromethane gives 2,3,5-tri-O-benzoyl-beta-D-ribofuranosyl cyanide (II), which is treated with H2S gas and dimethylaminopyridine (DMAP) in ethanol yielding the corresponding thioamide (III). The carefully controlled cyclization of (III) with 3-bromopyruvic acid ethyl ester (IV) by means of NaHCO3 in dimethoxyethane, followed by treatment with trifluoroacetic anhydride and 2,6-lutidine in the same solvent affords 2-(2,3,5-tri-O-benzoyl-beta-D-ribofuranosyl)thiazole-4-carboxylic acid ethyl ester (V). Elimination of the benzoyl protecting groups of (V) with NaOEt in ethanol gives 2-(beta-D-ribofuranosyl)thiazole-4-carboxylic acid ethyl ester (VI). Which is finally treated with dry ammonia in methanol to afford the target amide.

参考文献No.565016
标题:A modified synthesis of tiazofurin
作者:Ramasamy, K.S.; Averett, D.
来源:Nucleosides Nucleotides 1999,18(11-12),2425
合成路线图解说明:

A new synthesis of thiazofurin has been described: The reaction of 1-O-acetyl-2,3,5-tri-O-benzoyl-beta-D-ribofuranose (I) with trimethylsilyl cyanide and SnCl4 in dichloromethane gives 2,3,5-tri-O-benzoyl-beta-D-ribofuranosyl cyanide (II), which is treated with H2S gas and dimethylaminopyridine (DMAP) in ethanol yielding the corresponding thioamide (III). The carefully controlled cyclization of (III) with 3-bromopyruvic acid ethyl ester (IV) by means of NaHCO3 in dimethoxyethane, followed by treatment with trifluoroacetic anhydride and 2,6-lutidine in the same solvent affords 2-(2,3,5-tri-O-benzoyl-beta-D-ribofuranosyl)thiazole-4-carboxylic acid ethyl ester (V). Elimination of the benzoyl protecting groups of (V) with NaOEt in ethanol gives 2-(beta-D-ribofuranosyl)thiazole-4-carboxylic acid ethyl ester (VI). Which is finally treated with dry ammonia in methanol to afford the target amide.

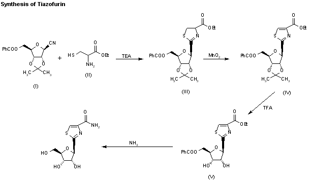
参考文献No.595105
标题:A new synthetic methodology for tiazofurin
作者:Ramasamy, K.S.; Bandaru, R.; Alverett, D.
来源:J Org Chem 2000,65(18),5849
合成路线图解说明:

A new synthesis of tiazofurin has been reported: The cyclization of 5-O-benzoyl-2,3-O-isopropylidene-beta-D-ribofuranosyl-1-carbonitrile (I) with cysteine ethyl ester (II) by means of TEA in dichloromethane gives the thiazoline derivative (III), which is dehydrogenated with MnO2 in the same solvent to yield the corresponding thiazole derivative (IV). Removal of the isopropylidene protecting group of (IV) with TFA in THF/water affords 2-(5'-O-benzoyl-beta-D-ribofuranosyl)thiazole-4-carboxylic acid ethyl ester (V), which is finally debenzoylated and amidated by reaction with ammonia in methanol.

参考文献No.695709
标题:A concise route to tiazofurin
作者:Brown, R.S.; et al.
来源:Tetrahedron Lett 2002,43(37),6561
合成路线图解说明:

The reaction of 1-O-acetyl-2,3,5-tri-O-benzoyl-beta-D-ribofuranose (I) with Tms-CN and SnCl4 in dichloromethane gives the carbonitrile (II), which is cyclized with L-cysteine methyl ester (III) by means of TEA in dichloromethane to yield the thiazoline carboxylate (IV). The dehydrogenation of (IV) by means of BrCCl3 and DBU in the same solvent affords the thiazole carboxylate (V), which is finally treated with ammonia in methanol to hydrolyze the benzoate groups and form the carboxamide residue of the target tiazofurin.

参考文献No.800016
标题:Synthesis of C-glycocyl thiazoles
作者:Garc韆-Mu駉z, G.; Stud, M.; Fuertes, M.
来源:J Org Chem 1976,414074
合成路线图解说明:

A new synthesis of thiazofurin has been described: The reaction of 1-O-acetyl-2,3,5-tri-O-benzoyl-beta-D-ribofuranose (I) with trimethylsilyl cyanide and SnCl4 in dichloromethane gives 2,3,5-tri-O-benzoyl-beta-D-ribofuranosyl cyanide (II), which is treated with H2S gas and dimethylaminopyridine (DMAP) in ethanol yielding the corresponding thioamide (III). The carefully controlled cyclization of (III) with 3-bromopyruvic acid ethyl ester (IV) by means of NaHCO3 in dimethoxyethane, followed by treatment with trifluoroacetic anhydride and 2,6-lutidine in the same solvent affords 2-(2,3,5-tri-O-benzoyl-beta-D-ribofuranosyl)thiazole-4-carboxylic acid ethyl ester (V). Elimination of the benzoyl protecting groups of (V) with NaOEt in ethanol gives 2-(beta-D-ribofuranosyl)thiazole-4-carboxylic acid ethyl ester (VI). Which is finally treated with dry ammonia in methanol to afford the target amide.

Drug Information Express,Drug R&D,Chemical Database,Patent Search.
Copyright © 2006-2026 Drug Future. All rights reserved.Contact Us