【药物名称】Sch-32651
化学结构式(Chemical Structure):
参考文献No.8685
标题:Imidazo[1,2-a]pyridines and use
作者:Bristol, J.A.; Puchalski, C. (Schering Corp.)
来源:EP 0068378; ES 513431; US 4450164
合成路线图解说明:

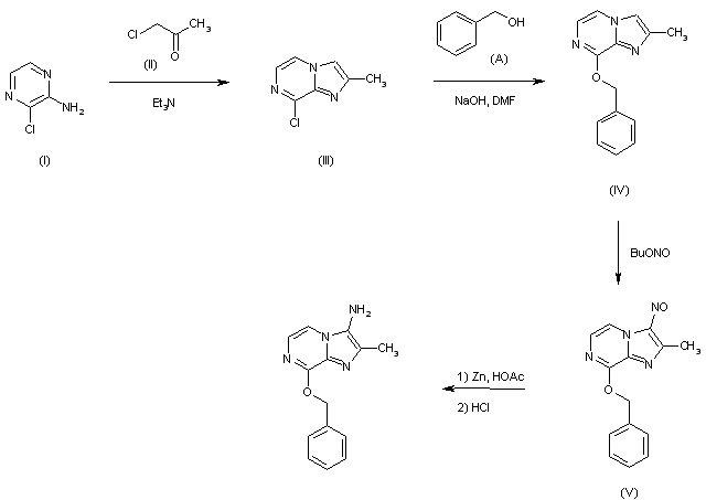
The cyclization of 2-amino-3-chloropyrazine (I) with chloroacetone (II) by means of triethylamine at 100 C gives 8-chloro-2-methylimidazo[1,2-a]pyrazine (III), which is treated with benzyl alcohol and NaOH in DMF to yield 8-benzyloxy-2-methylimidazo[1,2-a]pyrazine (IV). The nitrosation of (V) with butyl nitrite in refluxing dioxane affords 8-benzyloxy-3-nitroso-2-methylimidazo[1,2-a]pyrazine (V), which is finally reduced with Zn in acetic acid, and treated with HCl.

参考文献No.67110
标题:SCH-32651
作者:Casta馿r, J.; Serradell, M.N.
来源:Drugs Fut 1985,10(6),474
合成路线图解说明:

The cyclization of 2-amino-3-chloropyrazine (I) with chloroacetone (II) by means of triethylamine at 100 C gives 8-chloro-2-methylimidazo[1,2-a]pyrazine (III), which is treated with benzyl alcohol and NaOH in DMF to yield 8-benzyloxy-2-methylimidazo[1,2-a]pyrazine (IV). The nitrosation of (V) with butyl nitrite in refluxing dioxane affords 8-benzyloxy-3-nitroso-2-methylimidazo[1,2-a]pyrazine (V), which is finally reduced with Zn in acetic acid, and treated with HCl.

Drug Information Express,Drug R&D,Chemical Database,Patent Search.
Copyright © 2006-2026 Drug Future. All rights reserved.Contact Us