【药物名称】Remoxipride, FLA-731, A-33547, Roxiam
化学结构式(Chemical Structure):
参考文献No.75326
标题:Remoxipride
作者:Prous, J.; Casta馿r, J.
来源:Drugs Fut 1986,11(11),944
合成路线图解说明:

The bromination of 2,6-dimethoxybenzoic acid (I) with Br2 in dioxane gives 3-bromo-2,6-dimethoxy benzoic acid (II), which is treated with refluxing SOCl2 yielding the corresponding acyl chloride (III). Finally, this compound is condensed with (-)-(S)-1-ethyl 2-(aminomethyl)pyrrolidine (IV).

参考文献No.555587
标题:Potential neuroleptic agents. 2,6-dialkoxybenzamide derivatives with potent dopamine receptor blocking activities
作者:Florvall, L.; Ogren, S.O.
来源:J Med Chem 1982,25(11),1280
合成路线图解说明:

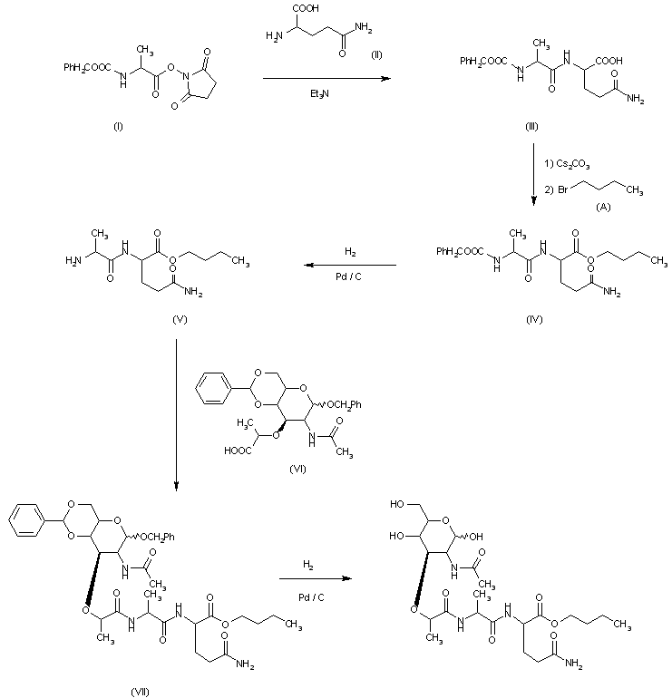
The reaction of N-benzltoxycarbonyl-L-alanine succinimidyl ester (I) with o-glutamine (II) by means of triethylamine in THF water gives benzyloxycarbonyl-L-alanyl-o-glutamine (III), which is esterified with bromobutane and Cs2CO3 in DMF yielding the corresponding butyl ester (IV). Deprotection of (IV) by hydrogenation with H2 over Pd/C in acetic acid affords L-alanyl-D-glutamine n-butyl ester (V), which is condensed with 1-O-benzyl-4,6-O-benzylidene-N-acetylmuramic acid (VI) bv the mixed anhydride method affording 1-O-benzyl-4,6-O-benzylidene-N-acetylmuramyl-L-alanyl-o-glutamine n-butyl ester (VII). Finally, this compound is deprotected by hydrogenation with H2 over Pd/C as before.

合成路线图解说明:

The bromination of 2,6-dimethoxybenzoic acid (I) with Br2 in dioxane gives 3-bromo-2,6-dimethoxy benzoic acid (II), which is treated with refluxing SOCl2 yielding the corresponding acyl chloride (III). Finally, this compound is condensed with (-)-(S)-1-ethyl 2-(aminomethyl)pyrrolidine (IV).

Drug Information Express,Drug R&D,Chemical Database,Patent Search.
Copyright © 2006-2026 Drug Future. All rights reserved.Contact Us