【药物名称】Pelanserin hydrochloride, TR-2515
化学结构式(Chemical Structure):
参考文献No.75281
标题:TR-2515
作者:Schut, R.N.; Hong, E.
来源:Drugs Fut 1985,10(11),929
合成路线图解说明:

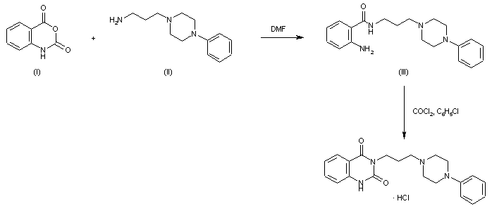
The reaction of isatoic anhydride (I) with 1-(3-aminopropyl)-4-phenylpiperazine (II) in DMF at 40-60 C gives the o-aminobenzamide derivative (III), which is then cyclized by the action of phosgene in refluxing chlorobenzene.

参考文献No.608293
标题:New sedative and hypotensive 3-substituted 2,4(1H,3H)-quinazolinediones
作者:Hayao, S.; Havera, H.J.; Strycker, W.G.; Leipzig, T.J.; Kulp, R.A.; Hartzler, H.E.
来源:J Med Chem 1965,8(6),807
合成路线图解说明:

The reaction of isatoic anhydride (I) with 1-(3-aminopropyl)-4-phenylpiperazine (II) in DMF at 40-60 C gives the o-aminobenzamide derivative (III), which is then cyclized by the action of phosgene in refluxing chlorobenzene.

Drug Information Express,Drug R&D,Chemical Database,Patent Search.
Copyright © 2006-2026 Drug Future. All rights reserved.Contact Us