【药物名称】Buciclovir, DHBG-(R)
化学结构式(Chemical Structure):
参考文献No.46468
标题:Derivatives of guanine for combating herpes virus infections
作者:Hagberg, C.-E.; et al. (AstraZeneca AB)
来源:EP 0055239; US 4495190; WO 8202202
合成路线图解说明:

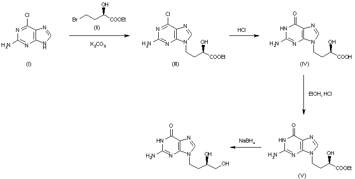
The condensation of 2-amino-6-chloropurine (I) with ethyl 4-bromo-2-hydroxybutyrate (II) by means of K2CO3 in DMF gives ethyl 4-(2-amino-6-chloropurin-9-yl)-2-hydroxybutyrate (III), which 8-hydrolyzed with refluxing aqueous HCl yielding 4-(9-guanyl)-2-hydroxybutyric acid (IV). The esterification of (IV) with ethanol - HCl affords the corresponding ethyl ester (V), which is finally reduced with NaBH4 in refluxing isopropanol.

参考文献No.75308
标题:Buciclovir
作者:Serradell, M.N.; Hopkins, S.J.; Casta馿r, J.
来源:Drugs Fut 1985,10(11),894
合成路线图解说明:

The condensation of 2-amino-6-chloropurine (I) with ethyl 4-bromo-2-hydroxybutyrate (II) by means of K2CO3 in DMF gives ethyl 4-(2-amino-6-chloropurin-9-yl)-2-hydroxybutyrate (III), which 8-hydrolyzed with refluxing aqueous HCl yielding 4-(9-guanyl)-2-hydroxybutyric acid (IV). The esterification of (IV) with ethanol - HCl affords the corresponding ethyl ester (V), which is finally reduced with NaBH4 in refluxing isopropanol.

参考文献No.800048
标题:The synthesis and antiherpetic activity of DHBG and some analogs
作者:Johansson, N.G.; Datema, R.; Ericson, A.C.; Lindborg, B.; Oberg, B.; Larsson, A.; Stening, G.; Eklind, K.; Kovocs, S.; Hagberg, C.E.
来源:Nucleosides Nucleotides 1985,4(1&2),303
合成路线图解说明:

The condensation of 2-amino-6-chloropurine (I) with ethyl 4-bromo-2-hydroxybutyrate (II) by means of K2CO3 in DMF gives ethyl 4-(2-amino-6-chloropurin-9-yl)-2-hydroxybutyrate (III), which 8-hydrolyzed with refluxing aqueous HCl yielding 4-(9-guanyl)-2-hydroxybutyric acid (IV). The esterification of (IV) with ethanol - HCl affords the corresponding ethyl ester (V), which is finally reduced with NaBH4 in refluxing isopropanol.

Drug Information Express,Drug R&D,Chemical Database,Patent Search.
Copyright © 2006-2026 Drug Future. All rights reserved.Contact Us