【药物名称】Ciprostene calcium, U-61431F(anhydrous)
化学结构式(Chemical Structure):
参考文献No.46057
标题:Composition and process
作者:Aristoff, P.A. (Pharmacia Corp.)
来源:US 4420632
合成路线图解说明:

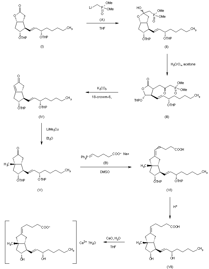
Treatment of the optically pure lactone (I) with lithium dimethyl methylphosphonate in tetrahydrofuran gives hemiacetal (II), which is oxidized to the diketone (III) using Jones' reagent in acetone. Then in the key step, compound (III) cyclizes to enone (IV) using potassium carbonate and 18-crown-6 in warm toluene. Lithium dimethyl cuprate addition to enone (IV) in ether gives ketone (V), which is converted to acid (VI) (a 1:1 mixture of E and Z olefins at C-5) using (4-carboxybutyl)triphenylphosphorane in dimethyl sulfoxide. Cleavage of the alcohol-protecting groups in (VI) with an acetic acid-water-tetrahydrofuran mixture followed by chromatography to remove the 5-E isomer affords 9-methylcarbacyclin (VII). Finally, treatment of (VII) with calcium oxide in tetrahydrofuran gives U-61431F (ciprostene calcium).

参考文献No.75310
标题:Ciprostene Calcium
作者:Aistoff, P.A.
来源:Drugs Fut 1985,10(11),900
合成路线图解说明:

Treatment of the optically pure lactone (I) with lithium dimethyl methylphosphonate in tetrahydrofuran gives hemiacetal (II), which is oxidized to the diketone (III) using Jones' reagent in acetone. Then in the key step, compound (III) cyclizes to enone (IV) using potassium carbonate and 18-crown-6 in warm toluene. Lithium dimethyl cuprate addition to enone (IV) in ether gives ketone (V), which is converted to acid (VI) (a 1:1 mixture of E and Z olefins at C-5) using (4-carboxybutyl)triphenylphosphorane in dimethyl sulfoxide. Cleavage of the alcohol-protecting groups in (VI) with an acetic acid-water-tetrahydrofuran mixture followed by chromatography to remove the 5-E isomer affords 9-methylcarbacyclin (VII). Finally, treatment of (VII) with calcium oxide in tetrahydrofuran gives U-61431F (ciprostene calcium).

参考文献No.800049
标题:Synthesis of 9-subtituted cabacyclin analogues
作者:Aristoff, P.A.; Harrison, A.W.; Johnson, P.D.
来源:J Org Chem 1983,485341
合成路线图解说明:

Treatment of the optically pure lactone (I) with lithium dimethyl methylphosphonate in tetrahydrofuran gives hemiacetal (II), which is oxidized to the diketone (III) using Jones' reagent in acetone. Then in the key step, compound (III) cyclizes to enone (IV) using potassium carbonate and 18-crown-6 in warm toluene. Lithium dimethyl cuprate addition to enone (IV) in ether gives ketone (V), which is converted to acid (VI) (a 1:1 mixture of E and Z olefins at C-5) using (4-carboxybutyl)triphenylphosphorane in dimethyl sulfoxide. Cleavage of the alcohol-protecting groups in (VI) with an acetic acid-water-tetrahydrofuran mixture followed by chromatography to remove the 5-E isomer affords 9-methylcarbacyclin (VII). Finally, treatment of (VII) with calcium oxide in tetrahydrofuran gives U-61431F (ciprostene calcium).

参考文献No.800050
标题:Practical synthesis of 6a-carbaprostaglandin I2
作者:Aristoff, P.A.
来源:J Org Chem 1981,461954
合成路线图解说明:

Treatment of the optically pure lactone (I) with lithium dimethyl methylphosphonate in tetrahydrofuran gives hemiacetal (II), which is oxidized to the diketone (III) using Jones' reagent in acetone. Then in the key step, compound (III) cyclizes to enone (IV) using potassium carbonate and 18-crown-6 in warm toluene. Lithium dimethyl cuprate addition to enone (IV) in ether gives ketone (V), which is converted to acid (VI) (a 1:1 mixture of E and Z olefins at C-5) using (4-carboxybutyl)triphenylphosphorane in dimethyl sulfoxide. Cleavage of the alcohol-protecting groups in (VI) with an acetic acid-water-tetrahydrofuran mixture followed by chromatography to remove the 5-E isomer affords 9-methylcarbacyclin (VII). Finally, treatment of (VII) with calcium oxide in tetrahydrofuran gives U-61431F (ciprostene calcium).

Drug Information Express,Drug R&D,Chemical Database,Patent Search.
Copyright © 2006-2026 Drug Future. All rights reserved.Contact Us