【药物名称】Fluradoline Hydrochloride, P-762494-A, HP-494
化学结构式(Chemical Structure):
参考文献No.42113
标题:Aminoalkylthiobenzoxepines, process for their preparation as well as pharmaceutical compsns. containing them
作者:Anderson, V.B.; Ong, H.H.; Profitt, J.A. (Aventis SA)
来源:JP 7995583
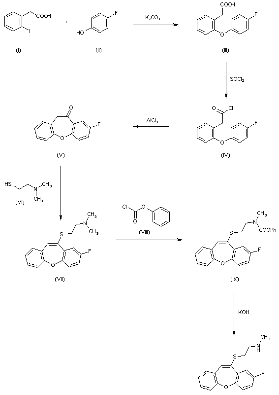
合成路线图解说明:

The condensation of 2-iodophenylacetic (I) with 4-fluorophenol (II) by means of K2CO3 in nitrobenzene al 160 C gives 2-(4-fluoophenoxy)phenylacetic acid (III), which by treatment with refluxing SOCl2 is converted to the corresponding acid chloride (IV). The cyclization of (IV) by means of AlCl3 in refluxing dichloroethane affords 2-fluoro-10,11-dihydro-11-oxodibenzo[b,f]oxepin (V), which is treated with 2-(dimethylamino)ethylthiol (VI) and boron trifluoride ethereate in acetic acid yielding 2-fluoro-11-[2-(dimethylamino)ethythio]dibenzo[b,f]oxepin (VII). The reaction of (VII) with phenyl chloro-formate (VIII) by means of K2CO3 in methylene chloride affords 2-fluoro-11-[2-(N-methyl-N-phenyloxycarbonylamino)ethythio]dibenzo[b,f]oxepin (IX), which is finally hydrolyzed with KOH-ethylene glycol al 155 C.

参考文献No.61908
标题:Fluradoline hydrochloride
作者:Casta馿r, J.; Prous, J.
来源:Drugs Fut 1985,10(10),813
合成路线图解说明:

The condensation of 2-iodophenylacetic (I) with 4-fluorophenol (II) by means of K2CO3 in nitrobenzene al 160 C gives 2-(4-fluoophenoxy)phenylacetic acid (III), which by treatment with refluxing SOCl2 is converted to the corresponding acid chloride (IV). The cyclization of (IV) by means of AlCl3 in refluxing dichloroethane affords 2-fluoro-10,11-dihydro-11-oxodibenzo[b,f]oxepin (V), which is treated with 2-(dimethylamino)ethylthiol (VI) and boron trifluoride ethereate in acetic acid yielding 2-fluoro-11-[2-(dimethylamino)ethythio]dibenzo[b,f]oxepin (VII). The reaction of (VII) with phenyl chloro-formate (VIII) by means of K2CO3 in methylene chloride affords 2-fluoro-11-[2-(N-methyl-N-phenyloxycarbonylamino)ethythio]dibenzo[b,f]oxepin (IX), which is finally hydrolyzed with KOH-ethylene glycol al 155 C.

参考文献No.555885
标题:Antiandrogenic activity of a series of des-A-steroid derivatives
作者:Morales-Alanis, H.; Brienne, M.J.; Jacques, J.; Bouton, M.M.; Nedelec, L.; Torelli, V.; Tournemine, C.
来源:J Med Chem 1985,28(12),1796
合成路线图解说明:

The condensation of 2-iodophenylacetic (I) with 4-fluorophenol (II) by means of K2CO3 in nitrobenzene al 160 C gives 2-(4-fluoophenoxy)phenylacetic acid (III), which by treatment with refluxing SOCl2 is converted to the corresponding acid chloride (IV). The cyclization of (IV) by means of AlCl3 in refluxing dichloroethane affords 2-fluoro-10,11-dihydro-11-oxodibenzo[b,f]oxepin (V), which is treated with 2-(dimethylamino)ethylthiol (VI) and boron trifluoride ethereate in acetic acid yielding 2-fluoro-11-[2-(dimethylamino)ethythio]dibenzo[b,f]oxepin (VII). The reaction of (VII) with phenyl chloro-formate (VIII) by means of K2CO3 in methylene chloride affords 2-fluoro-11-[2-(N-methyl-N-phenyloxycarbonylamino)ethythio]dibenzo[b,f]oxepin (IX), which is finally hydrolyzed with KOH-ethylene glycol al 155 C.

合成路线图解说明:

The cyclization of methyl 5-oxo-6-heptenoate (I) with 2-methylcyclopentane-1-3-dione (II) by means of pyridine in refluxing toluene gives methyl 3-(1,5-dioxo-7a-methyl 5,6,7,7a-tetrahydroindan-4-yl)propionate (III), which is hydrolyzed with 5N HCl to the corresponding free acid (IV). Separation of the optical isomers with ephedrine affords the 3-(1,5-dioxo-7a-methyl-5,6,7,7a-tetrahydroindan 4-yl)propionic acid (V), which is reduced with NaBH4 in water to the 1beta-hydroxyacid (VI). Reduction of the double bond of (VI) with H2 over Pd/C in acetic acid gives the saturated ketoacid (VII), which is acetylated with acetic anhydride to the acetoxy Iactone (VIII). The Grignard reaction of (VIII) with propylmagnesium bromide (IX) and treatment with methanolic KOH affords 6-ethyl-3-hydroxy-3a-methyl-1,2,3,3a,4,5,8,9,9a,9b decahydro 7H benz[e]inden-7-one (X), which is finally acetylated with acetic anhydride as before.

Drug Information Express,Drug R&D,Chemical Database,Patent Search.
Copyright © 2006-2026 Drug Future. All rights reserved.Contact Us